|
CAS#: 144450-34-0 Product: (3E,5Z,13Z,15Z)-18-[4-[4-[(2S,4R,5S,6R)-4,5-Dihydroxy-6-Methyloxan-2-Yl]Oxy-2-Hydroxy-5-Methyl-6-[(E)-Prop-1-Enyl]Oxan-2-Yl]-3-Hydroxypentan-2-Yl]-8,10-Dihydroxy-3,17-Dimethoxy-5,7,9,11,13-Pentamethyl-1-Oxacyclooctadeca-3,5,13,15-Tetraen-2-One No suppilers available for the product. |
| Name | (3E,5Z,13Z,15Z)-18-[4-[4-[(2S,4R,5S,6R)-4,5-Dihydroxy-6-Methyloxan-2-Yl]Oxy-2-Hydroxy-5-Methyl-6-[(E)-Prop-1-Enyl]Oxan-2-Yl]-3-Hydroxypentan-2-Yl]-8,10-Dihydroxy-3,17-Dimethoxy-5,7,9,11,13-Pentamethyl-1-Oxacyclooctadeca-3,5,13,15-Tetraen-2-One |
|---|---|
| Synonyms | (3E,5Z,13Z,15Z)-18-[3-[4-[(2S,4R,5S,6R)-4,5-Dihydroxy-6-Methyl-Tetrahydropyran-2-Yl]Oxy-2-Hydroxy-5-Methyl-6-[(E)-Prop-1-Enyl]Tetrahydropyran-2-Yl]-2-Hydroxy-1-Methyl-Butyl]-8,10-Dihydroxy-3,17-Dimethoxy-5,7,9,11,13-Pentamethyl-1-Oxacyclooctadeca-3,5,13,15-Tetraen-2-One; (3E,5Z,13Z,15Z)-18-[3-[4-[[(2S,4R,5S,6R)-4,5-Dihydroxy-6-Methyl-2-Tetrahydropyranyl]Oxy]-2-Hydroxy-5-Methyl-6-[(E)-Prop-1-Enyl]-2-Tetrahydropyranyl]-2-Hydroxy-1-Methylbutyl]-8,10-Dihydroxy-3,17-Dimethoxy-5,7,9,11,13-Pentamethyl-1-Oxacyclooctadeca-3,5,13,15-Tetraen-2-One; (3E,5Z,13Z,15Z)-18-[4-[4-[(2S,4R,5S,6R)-4,5-Dihydroxy-6-Methyl-Oxan-2-Yl]Oxy-2-Hydroxy-5-Methyl-6-[(E)-Prop-1-Enyl]Oxan-2-Yl]-3-Hydroxy-Pentan-2-Yl]-8,10-Dihydroxy-3,17-Dimethoxy-5,7,9,11,13-Pentamethyl-1-Oxacyclooctadeca-3,5,13,15-Tetraen-2-One |
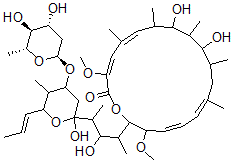
| Molecular Structure | ![]() |
| Molecular Formula | C44H72O13 |
| Molecular Weight | 809.05 |
| CAS Registry Number | 144450-34-0 |
| SMILES | [C@H]3(OC1CC(OC(C1C)\C=C\C)(O)C(C(O)C(C2OC(=O)C(=C\C(=C/C(C(O)C(C(O)C(CC(=C\C=C/C2OC)/C)C)C)C)C)/OC)C)C)O[C@@H]([C@@H](O)[C@H](O)C3)C |
| InChI | 1S/C44H72O13/c1-13-15-33-27(6)36(55-37-21-32(45)41(49)31(10)54-37)22-44(51,57-33)30(9)40(48)29(8)42-34(52-11)17-14-16-23(2)18-25(4)38(46)28(7)39(47)26(5)19-24(3)20-35(53-12)43(50)56-42/h13-17,19-20,25-34,36-42,45-49,51H,18,21-22H2,1-12H3/b15-13+,17-14-,23-16-,24-19-,35-20+/t25?,26?,27?,28?,29?,30?,31-,32-,33?,34?,36?,37-,38?,39?,40?,41-,42?,44?/m1/s1 |
| InChIKey | MTLOJNVKXXZIBC-QIOSSVKISA-N |