|
CAS#: 144539-92-4 Product: (3E,5E,7R,8R,9S,10S,11R,13E,15E,17S,18R)-18-[(2S,3R,4S)-4-[(2R,4R,5S,6R)-2,4-Dihydroxy-5-Methyl-6-[(E)-Prop-1-Enyl]Oxan-2-Yl]-3-Hydroxypentan-2-Yl]-9-Ethyl-8,10-Dihydroxy-3,17-Dimethoxy-5,7,11,13-Tetramethyl-1-Oxacyclooctadeca-3,5,13,15-Tetraen-2-One No suppilers available for the product. |
| Name | (3E,5E,7R,8R,9S,10S,11R,13E,15E,17S,18R)-18-[(2S,3R,4S)-4-[(2R,4R,5S,6R)-2,4-Dihydroxy-5-Methyl-6-[(E)-Prop-1-Enyl]Oxan-2-Yl]-3-Hydroxypentan-2-Yl]-9-Ethyl-8,10-Dihydroxy-3,17-Dimethoxy-5,7,11,13-Tetramethyl-1-Oxacyclooctadeca-3,5,13,15-Tetraen-2-One |
|---|---|
| Synonyms | (3E,5E,7R,8R,9S,10S,11R,13E,15E,17S,18R)-18-[(1S,2R,3S)-3-[(2R,4R,5S,6R)-2,4-Dihydroxy-5-Methyl-6-[(E)-Prop-1-Enyl]Tetrahydropyran-2-Yl]-2-Hydroxy-1-Methyl-Butyl]-9-Ethyl-8,10-Dihydroxy-3,17-Dimethoxy-5,7,11,13-Tetramethyl-1-Oxacyclooctadeca-3,5,13,15-Tetraen-2-One; (3E,5E,7R,8R,9S,10S,11R,13E,15E,17S,18R)-18-[(1S,2R,3S)-3-[(2R,4R,5S,6R)-2,4-Dihydroxy-5-Methyl-6-[(E)-Prop-1-Enyl]-2-Tetrahydropyranyl]-2-Hydroxy-1-Methylbutyl]-9-Ethyl-8,10-Dihydroxy-3,17-Dimethoxy-5,7,11,13-Tetramethyl-1-Oxacyclooctadeca-3,5,13,15-Tetraen-2-One; (3E,5E,7R,8R,9S,10S,11R,13E,15E,17S,18R)-18-[(2S,3R,4S)-4-[(2R,4R,5S,6R)-2,4-Dihydroxy-5-Methyl-6-[(E)-Prop-1-Enyl]Oxan-2-Yl]-3-Hydroxy-Pentan-2-Yl]-9-Ethyl-8,10-Dihydroxy-3,17-Dimethoxy-5,7,11,13-Tetramethyl-1-Oxacyclooctadeca-3,5,13,15-Tetraen-2-One |
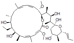
| Molecular Structure | ![]() |
| Molecular Formula | C39H64O10 |
| Molecular Weight | 692.93 |
| CAS Registry Number | 144539-92-4 |
| SMILES | [C@]1(O[C@@H]([C@H]([C@H](O)C1)C)\C=C\C)(O)[C@H]([C@H](O)[C@@H]([C@H]2OC(=O)C(=C\C(=C\[C@H]([C@@H](O)[C@H]([C@@H](O)[C@@H](CC(=C/C=C/[C@@H]2OC)/C)C)CC)C)C)/OC)C)C |
| InChI | 1S/C39H64O10/c1-12-15-31-26(7)30(40)21-39(45,49-31)28(9)36(43)27(8)37-32(46-10)17-14-16-22(3)18-24(5)34(41)29(13-2)35(42)25(6)19-23(4)20-33(47-11)38(44)48-37/h12,14-17,19-20,24-32,34-37,40-43,45H,13,18,21H2,1-11H3/b15-12+,17-14+,22-16+,23-19+,33-20+/t24-,25-,26+,27+,28+,29+,30-,31-,32+,34+,35-,36-,37-,39-/m1/s1 |
| InChIKey | YNZXLMPHTZVKJN-STTJUCNZSA-N |