| Abblis Chemicals LLC | 美国 | 询价快递 | ||
|---|---|---|---|---|
![]() |
+1 (832) 373-8299 | |||
![]() |
info@abblis.com | |||
| 化学品生产商 | ||||
| Achemica | 瑞士 | 询价快递 | ||
|---|---|---|---|---|
![]() |
+41 (24) 466-2929 | |||
![]() |
contact@achemica.com | |||
| 化学品生产商(2010 年起) | ||||
| Anward | 香港 | 询价快递 | ||
|---|---|---|---|---|
![]() |
+852 8191 6999 | |||
![]() |
sales@anward.com | |||
| 化学品生产商(2012 年起) | ||||
| International Laboratory Limited | 美国 | 询价快递 | ||
|---|---|---|---|---|
![]() |
+1 (650) 278-9963 | |||
![]() |
admin@intlab.org | |||
| 化学品生产商(2002 年起) | ||||
| 产品分类 | 化学试剂 >> 氟试剂 |
|---|---|
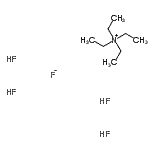
| 产品名称 | N,N,N-三乙基乙铵氟化物氢氟酸盐(1:1:4) |
| 英文名 | N,N,N-Triethylethanaminium Fluoride Hydrofluoride (1:1:4) |
| 别名 | Tetraethylammonium Fluoride Tetrahydrofluoride |
| 分子结构 | ![]() |
| 分子式 | C8H24F5N |
| 分子量 | 229.27 |
| CAS 登录号 | 145826-81-9 |
| 分子行输入简码 SMILES | [F-].F.F.F.F.CC[N+](CC)(CC)CC |
| 国际化学标识码 InChI | 1S/C8H20N.5FH/c1-5-9(6-2,7-3)8-4;;;;;/h5-8H2,1-4H3;5*1H/q+1;;;;;/p-1 |
| 国际化学标识检索码 InChIKey | ANODKKTYHRYRDA-UHFFFAOYSA-M |
| 折射率 | (计算值) |
|---|---|
| SDS | 化学品安全技术说明书参考文本 |
|---|---|
| 市场分析报告 |
| 请浏览N,N,N-三乙基乙铵氟化物氢氟酸盐(1:1:4)市场分析报告总目录 |