Identification
| Name |
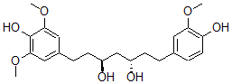
(3S,5S)-1-(4-Hydroxy-3,5-Dimethoxyphenyl)-7-(4-Hydroxy-3-Methoxyphenyl)Heptane-3,5-Diol |
| Synonyms |
(3S,5S)-1-(4-Hydroxy-3,5-Dimethoxy-Phenyl)-7-(4-Hydroxy-3-Methoxy-Phenyl)Heptane-3,5-Diol; 3,5-Dihydroxy-1-(4'-Hydroxy-3',5'-Dimethoxyphenyl)-7-(4''-Hydroxy-3''-Methoxyphenyl)Heptane; 3,5-Dihydroxy-Meodah |
|
| Molecular Structure |
 |
| Molecular Formula |
C22H30O7 |
| Molecular Weight |
406.47 |
| CAS Registry Number |
145888-84-2 |
| SMILES |
[C@H](O)(CCC1=CC(=C(O)C(=C1)OC)OC)C[C@@H](O)CCC2=CC(=C(O)C=C2)OC |
| InChI |
1S/C22H30O7/c1-27-19-10-14(6-9-18(19)25)4-7-16(23)13-17(24)8-5-15-11-20(28-2)22(26)21(12-15)29-3/h6,9-12,16-17,23-26H,4-5,7-8,13H2,1-3H3/t16-,17-/m0/s1 |
| InChIKey |
UEKHBUNMFZUBFK-IRXDYDNUSA-N |
|