基本信息
| 产品名称 |
(1aS-(1aalpha,1Bbeta,2beta,5Abeta,6beta,6aalpha))-1a,1b,2,5a,6,6a-六氢-1alpha-(羟基甲基)-6-甲氧基环氧乙烷并(4,5)环戊二烯并(1,2-c)吡喃-2-基 6-O-beta-D-吡喃木糖基-beta-D-吡喃葡萄糖苷 |
| 英文名 |
(1aS-(1aalpha,1bbeta,2beta,5abeta,6beta,6aalpha))-1a,1b,2,5a,6,6a-Hexahydro-1alpha-(Hydroxymethyl)-6-Methoxyoxireno(4,5)Cyclopenta(1,2-c)Pyran-2-Yl 6-O-beta-D-Xylopyranosyl-beta-D-Glucopyranoside |
| 别名 |
1A,1B,2,5A,6,6A-Hexahydro-1A-(Hydroxymethyl)-6-Methoxyoxireno(4,5)Cyclopenta(1,2-C)Pyran-2-Yl 6-O-Beta-D-Xylopyranosyl-Beta-D-Glucopyranoside (1As-(1Aalpha,1Bbeta,2Beta,5Abeta,6Beta,6Aalpha))-; 6'-O-(Beta-D-Xylopyranosyl)Methylcatalpol; Karsoside |
|
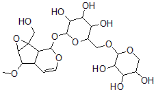
| 分子结构 |
 |
| 分子式 |
C21H32O14 |
| 分子量 |
508.48 |
| CAS 登录号 |
149155-50-0 |
| 分子行输入简码 SMILES |
C(C23C1C(OC=CC1C(C2O3)OC)OC5C(O)C(O)C(O)C(COC4OCC(O)C(C4O)O)O5)O |
| 国际化学标识码 InChI |
1S/C21H32O14/c1-29-16-7-2-3-30-18(10(7)21(6-22)17(16)35-21)34-20-15(28)13(26)12(25)9(33-20)5-32-19-14(27)11(24)8(23)4-31-19/h2-3,7-20,22-28H,4-6H2,1H3 |
| 国际化学标识检索码 InChIKey |
LOKOJGZZDJOXCS-UHFFFAOYSA-N |
|