Online Database of Chemicals from Around the World

(11)-Intramol 1,3''-11-((O-6-Deoxy-alpha-L-Mannopyranosyl-(1-3)-O-6-Deoxy-2,4-Bis-O-((2S)-2-Methyl-1-Oxobutyl)-alpha-L-Manopyranosyl-(1-2)-O-beta-D-Glucopyranosyl-(1-2)-6-Deoxy-beta-D-Galactopyranosyl)Oxy)Hexadecanoate
[CAS# 149155-65-7]

Suppliers
CAS#: 149155-65-7
Product: (11)-Intramol 1,3''-11-((O-6-Deoxy-alpha-L-Mannopyranosyl-(1-3)-O-6-Deoxy-2,4-Bis-O-((2S)-2-Methyl-1-Oxobutyl)-alpha-L-Manopyranosyl-(1-2)-O-beta-D-Glucopyranosyl-(1-2)-6-Deoxy-beta-D-Galactopyranosyl)Oxy)Hexadecanoate
No suppilers available for the product.
Identification
Name (11)-Intramol 1,3''-11-((O-6-Deoxy-alpha-L-Mannopyranosyl-(1-3)-O-6-Deoxy-2,4-Bis-O-((2S)-2-Methyl-1-Oxobutyl)-alpha-L-Manopyranosyl-(1-2)-O-beta-D-Glucopyranosyl-(1-2)-6-Deoxy-beta-D-Galactopyranosyl)Oxy)Hexadecanoate
Synonyms (11S)-Hydroxyhexadecanoic Acid 11-O-Alpha-L-Rhamnopyranosyl-(1-3)-O-Alpha-L-(2-O-(2S-Methylbutyryl)-4-O-(2S-Methylbutyryl))Rhamnopyranosyl-(1-2)-O-Beta-D-Glucopyranosyl-(1-2)-Beta-D-Fucopyranoside-(1,3''-Lactone); (11S)-Intramol. 1,3''-11-((O-6-Deoxy-Alpha-L-Mannopyranosyl-(1-3)-O-6-Deoxy-2,4-Bis-O-((2S)-2-Methyl-1-Oxobutyl)-Alpha-L-Mannopyranosyl-(1-2)-O-Beta-D-Glucopyranosyl-(1-2)-6-Deoxy-Beta-D-Galactopyranosyl)Oxy)Hexadecanoate; Hexadecanoic Acid, 11-((O-6-Deoxy-Alpha-L-Mannopyranosyl-(1-3)-O-6-Deoxy-2,4-Bis-O-((2S)-2-Methyl-1-Oxobutyl)-Alpha-L-Mannopyranosyl-(1-2)-O-Beta-D-Glucopyranosyl-(1-2)-6-Deoxy-Beta-D-Galactopyranosyl)Oxy)-, Intramol. 1,3''-Ester, (11S)-
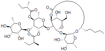
Molecular Structure CAS#: 149155-65-7, (11)-Intramol 1,3''-11-((O-6-Deoxy-alpha-L-Mannopyranosyl-(1-3)-O-6-Deoxy-2,4-Bis-O-((2S)-2-Methyl-1-Oxobutyl)-alpha-L-Manopyranosyl-(1-2)-O-beta-D-Glucopyranosyl-(1-2)-6-Deoxy-beta-D-Galactopyranosyl)Oxy)Hexadecanoate
Molecular Formula C50H86O21
Molecular Weight 1023.22
CAS Registry Number 149155-65-7
SMILES [C@H]12O[C@@H]3O[C@@H]([C@@H](O)[C@H](OC(=O)CCCCCCCCC[C@@H](O[C@@H]1O[C@@H]([C@H](O)[C@@H]2O)C)CCCCC)C3O[C@@H]5O[C@H]([C@H](OC(=O)[C@H](CC)C)[C@@H](O[C@@H]4O[C@H]([C@H](O)[C@@H](O)[C@H]4O)C)[C@H]5OC(=O)[C@H](CC)C)C)CO
InChI 1S/C50H86O21/c1-9-12-18-21-30-22-19-16-14-13-15-17-20-23-32(52)66-40-35(55)31(24-51)65-50(69-41-37(57)34(54)28(7)62-48(41)64-30)43(40)71-49-44(68-46(60)26(5)11-3)42(39(29(8)63-49)67-45(59)25(4)10-2)70-47-38(58)36(56)33(53)27(6)61-47/h25-31,33-44,47-51,53-58H,9-24H2,1-8H3/t25-,26-,27-,28+,29-,30-,31+,33-,34-,35+,36+,37-,38+,39-,40-,41+,42+,43?,44+,47-,48-,49-,50-/m0/s1
InChIKey DWBKNMQALHFQLC-NAJXRQGXSA-N
Properties
Density 1.288g/cm3 (Cal.)
Boiling point 1038.237°C at 760 mmHg (Cal.)
Flash point 285.702°C (Cal.)
Market Analysis Reports
List of Reports Available for (11)-Intramol 1,3''-11-((O-6-Deoxy-alpha-L-Mannopyranosyl-(1-3)-O-6-Deoxy-2,4-Bis-O-((2S)-2-Methyl-1-Oxobutyl)-alpha-L-Manopyranosyl-(1-2)-O-beta-D-Glucopyranosyl-(1-2)-6-Deoxy-beta-D-Galactopyranosyl)Oxy)Hexadecanoate
Related Products
(2R,3S,4S,5R,6R)-2-[[(2R,3R,4R)-3,4-Dihy...  [3,4-Dihydroxy-5-[[3,4,5-Trihydroxy-6-[2...  Butacaine  3-Heptyn-1-Ol  2-(4-Chlorophenyl)-3-Nitropropan-1-Amine  [(Z)-1,1,1-Trifluoro-4-Oxo-4-Phenylbut-2...  [(E)-1,1,1-Trifluoro-4-Oxo-4-Phenylbut-2...  Methyl alpha-L-Rhamnopyranoside  Ftivazide  Bolmantalate  Destomycin A  (3S,6aR,6bS,8aR,9R,14aR,14bS)-4,4,6a,6b,...  Tripdioltonide  Antipyrylazo III  DL-Thyroxine Sodium Salt