Online Database of Chemicals from Around the World

Jaspisamide B
[CAS# 149420-77-9]

Suppliers
CAS#: 149420-77-9
Product: Jaspisamide B
No suppilers available for the product.
Identification
Name Jaspisamide B
Synonyms Kabiramide C, 21-O-De(Aminocarbonyl)-23,24-Didehydro-3,23-Demethyl-25-Deoxy-25-Oxo-
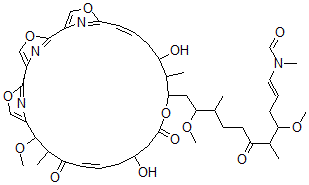
Molecular Structure CAS#: 149420-77-9, Jaspisamide B
Molecular Formula C44H60N4O13
Molecular Weight 852.98
CAS Registry Number 149420-77-9
SMILES C(C4OC(=O)CC(O)C/C=C/C(=O)C(C(OC)C1=COC(=N1)C2=COC(=N2)C3=COC(=N3)\C=C/CC(O)C4C)C)C(OC)C(CCC(=O)C(C(OC)C\C=C\N(C=O)C)C)C
InChI 1S/C44H60N4O13/c1-26(17-18-36(53)27(2)37(55-6)15-11-19-48(5)25-49)38(56-7)21-39-28(3)34(51)14-10-16-40-45-32(23-58-40)43-47-33(24-60-43)44-46-31(22-59-44)42(57-8)29(4)35(52)13-9-12-30(50)20-41(54)61-39/h9-11,13,16,19,22-30,34,37-39,42,50-51H,12,14-15,17-18,20-21H2,1-8H3/b13-9+,16-10-,19-11+
InChIKey RFDARNYKMNISNP-FGJKLWHMSA-N
Market Analysis Reports
List of Reports Available for Jaspisamide B
Related Products
Jaspisamide C  3-(9,10-Dihydro-4H-Benzo[4,5]Cyclohepta[...  N-(N-Gly-Gly)-8-Lys-Vasopressin  N-(2,5-Diamino-6-Oxo-3H-Pyrimidin-4-Yl)-...  [(1R,5S,6R,7R,8S)-6-(3,4-Dimethoxyphenyl...  (5-Fluoro-2,4-Dioxopyrimidin-1-Yl)Methyl...  3-Methyl-1,2,3,4-Tetrahydronaphthalene-1...  9-Ala-Nh(2)-Lys-Vasopressin  (3R,4S,5R)-5-(Carboxymethyl-(Phosphonome...  4,5-Dihydroxybenzene-1,3-Disulphonic Aci...  (1S-(1alpha,3abeta,4aalpha,11abeta,12R*)...  8,10a-Dihydroxy-3,11-Dimethyl-1,2-Dihydr...  Aspartyl-arginyl-asparaginyl-phenylalany...  Magnesium Protoporphyrin  Bis(1,3-Dithian-2-Yl)Methane