Online Database of Chemicals from Around the World

2-[(2R)-2-丁烷基]-4-{4-[4-(4-甲氧基苯基)-1-哌嗪基]苯基}-2,4-二氢-3H-1,2,4-三唑-3-酮
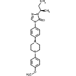
[CAS# 149809-44-9]

基本信息
产品名称 2-[(2R)-2-丁烷基]-4-{4-[4-(4-甲氧基苯基)-1-哌嗪基]苯基}-2,4-二氢-3H-1,2,4-三唑-3-酮
英文名 2-[(2R)-2-Butanyl]-4-{4-[4-(4-Methoxyphenyl)-1-Piperazinyl]Phenyl}-2,4-Dihydro-3H-1,2,4-Triazol-3-One
别名 3H-1,2,4-Triazol-3-one, 2,4-dihydro-4-[4-[4-(4-methoxyphenyl)-1-piperazinyl]phenyl]-2-(1-methylpropyl)-, (R)-; TL8001085
分子结构 CAS 登录号:149809-44-9, 2-[(2R)-2-丁烷基]-4-{4-[4-(4-甲氧基苯基)-1-哌嗪基]苯基}-2,4-二氢-3H-1,2,4-三唑-3-酮
分子式 C23H29N5O2
分子量 407.51
CAS 登录号 149809-44-9
分子行输入简码 SMILES O=C1N(/N=C\N1c4ccc(N3CCN(c2ccc(OC)cc2)CC3)cc4)[C@H](C)CC
国际化学标识码 InChI 1S/C23H29N5O2/c1-4-18(2)28-23(29)27(17-24-28)21-7-5-19(6-8-21)25-13-15-26(16-14-25)20-9-11-22(30-3)12-10-20/h5-12,17-18H,4,13-16H2,1-3H3/t18-/m1/s1
国际化学标识检索码 InChIKey IVIVGYTUQVJVPF-GOSISDBHSA-N
物理化学性质
密度 1.207g/cm3 (计算值)
沸点 572.422°C at 760 mmHg (计算值)
闪点 299.991°C (计算值)
折射率 1.622 (计算值)
市场分析报告
请浏览2-[(2R)-2-丁烷基]-4-{4-[4-(4-甲氧基苯基)-1-哌嗪基]苯基}-2,4-二氢-3H-1,2,4-三唑-3-酮市场分析报告总目录
相关产品
(1S,2S)-1-氨基-2-异丙基环丙烷羧酸  (1S,2R)-1-氨基-2-异丙基环丙烷羧酸  2-氨基-9-[(2S,5R)-2-(羟基甲基)-...  beta-雌二醇3-(beta-D-葡糖苷酸)钠盐  2,2,2-三氟-N-(3-羟基苯基)乙酰胺  1,1,1,3-四氯十二烷  三乙氧基{3-[(1,1,1,2,3,3,3-七氟...  5-(2-氯乙基)-1H-苯并咪唑  1-甲氧基-1H-苯并咪唑-2-甲腈  (1-甲氧基-1H-苯并咪唑-2-基)甲醇  异丙基膦二氯化物  6-异丙基-6-氮杂双环[3.1.0]己烷  2-氯-4-嘧啶羰基氯化物  甲基N-{3-乙酰氨基-4-[(2-氰基-4-硝基...  2-[二(2-吡啶基甲基)氨基]乙醇