Online Database of Chemicals from Around the World

Theonezolide A
[CAS# 150243-49-5]

供应商
CAS#: 150243-49-5
产品: Theonezolide A
暂时没有厂家供应该产品。
基本信息
产品名称 Theonezolide A
英文名 Theonezolide A
别名 [(22E)-5-[[(E)-18-[6-[2-(9-Aminodecyl)-1,3-Thiazol-4-Yl]-3-Methyloxan-2-Yl]-5,7,9,13,15,17-Hexahydroxy-2,4-Dimethyloctadec-2-Enoyl]Amino]-12,16,18,26,30,32-Hexahydroxy-24-Methoxy-4,7,21-Trimethyl-2-Oxo-3,37-Dioxa-39-Azabicyclo[34.2.1]Nonatriaconta-1(38),22,36(39)-Trien-6-Yl] Hydrogen Sulfate; [(22E)-5-[[(E)-18-[6-[2-(9-Aminodecyl)Thiazol-4-Yl]-3-Methyl-Tetrahydropyran-2-Yl]-5,7,9,13,15,17-Hexahydroxy-2,4-Dimethyl-Octadec-2-Enoyl]Amino]-12,16,18,26,30,32-Hexahydroxy-24-Methoxy-4,7,21-Trimethyl-2-Oxo-3,37-Dioxa-39-Azabicyclo[34.2.1]Nonatriaconta-1(38),22,36(39)-Trien-6-Yl] Hydrogen Sulfate; [5-[[(E)-18-[6-[2-(9-Aminodecyl)Thiazol-4-Yl]-3-Methyl-Tetrahydropyran-2-Yl]-5,7,9,13,15,17-Hexahydroxy-2,4-Dimethyl-Octadec-2-Enoyl]Amino]-12,16,18,26,30,32-Hexahydroxy-24-Methoxy-4,7,21-Trimethyl-2-Oxo-3,37-Dioxa-39-Azabicyclo[34.2.1]Nonatriaconta-1(38),22,36(39)-Trien-6-Yl] Hydrogen Sulfate
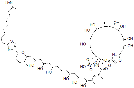
分子结构 CAS 登录号:150243-49-5, Theonezolide A
分子式 C79H140N4O22S2
分子量 1562.11
CAS 登录号 150243-49-5
分子行输入简码 SMILES C1=C(N=C(S1)CCCCCCCCC(N)C)C2OC(C(CC2)C)CC(O)CC(O)CC(O)CCCC(O)CC(O)CC(O)C(\C=C(C(=O)NC4C(O[S](=O)(=O)O)C(CCCCC(O)CCCC(O)CC(O)CCC(\C=C/C(OC)CC(O)CCCC(O)CC(O)CCCC3=NC(=CO3)C(OC4C)=O)C)C)/C)C
国际化学标识码 InChI 1S/C79H140N4O22S2/c1-50-33-36-64(91)41-59(86)25-17-24-57(84)23-16-15-21-52(3)77(105-107(98,99)100)76(56(7)103-79(97)69-48-102-74(81-69)31-20-30-60(87)40-58(85)26-19-29-63(90)45-68(101-8)37-34-50)83-78(96)54(5)39-53(4)71(95)46-66(93)43-62(89)28-18-27-61(88)42-65(92)44-67(94)47-73-51(2)35-38-72(104-73)70-49-106-75(82-70)32-14-12-10-9-11-13-22-55(6)80/h34,37,39,48-53,55-68,71-73,76-77,84-95H,9-33,35-36,38,40-47,80H2,1-8H3,(H,83,96)(H,98,99,100)/b37-34-,54-39+
国际化学标识检索码 InChIKey MMSGOWXOEFXAOS-FIOIJENESA-N
物理化学性质
密度 1.25g/cm3 (计算值)
市场分析报告
请浏览Theonezolide A市场分析报告总目录
相关产品
2,5,8-三羟基-1,3,4,6,7,9,9b-...  1,3,4,6,7,9,9b-七氮杂非那烯-2,5...  4-[1-(9H-芴-9-基)乙氧羰基氨基]苯甲酸  2,2'-联吡啶亚铁高氯酸盐  N-苄氧羰基-DL-正亮氨酸  3-吡咯烷-3-基吡啶  甲基 3-苯基-DL-丙氨酸酯  DL-alpha,beta-异亚丙基甘油-gamm...  3-(4-甲基-哌嗪-1-基)-3-氧代-丙腈  2-氰基-N-环丙基-乙酰胺  2-氰基-N-(3-甲氧基-丙基)-乙酰胺  2-氰基-N-(3-乙氧基-丙基)-乙酰胺  O,O'-二乙酰基吗啡盐酸盐  4-(2-氰基-乙酰氨基)-苯甲酸乙酯  3-氯-4-(2,4,6-三氯苯基)苯酚