Online Database of Chemicals from Around the World

16-(4-氨基丁基)-N-(1,3-二羟基-2-甲基丙烷-2-基)-13-(1-羟基乙基)-19-(1H-吲哚-3-基甲基)-12,15,18,21,24-五氧代-22-(苯基甲基)-7,8-二硫杂-11,14,17,20,23-五氮杂螺[5.19]二十五烷-10-甲酰胺
[CAS# 150747-52-7]

供应商
CAS#: 150747-52-7
产品: 16-(4-氨基丁基)-N-(1,3-二羟基-2-甲基丙烷-2-基)-13-(1-羟基乙基)-19-(1H-吲哚-3-基甲基)-12,15,18,21,24-五氧代-22-(苯基甲基)-7,8-二硫杂-11,14,17,20,23-五氮杂螺[5.19]二十五烷-10-甲酰胺
暂时没有厂家供应该产品。
基本信息
产品名称 16-(4-氨基丁基)-N-(1,3-二羟基-2-甲基丙烷-2-基)-13-(1-羟基乙基)-19-(1H-吲哚-3-基甲基)-12,15,18,21,24-五氧代-22-(苯基甲基)-7,8-二硫杂-11,14,17,20,23-五氮杂螺[5.19]二十五烷-10-甲酰胺
英文名 16-(4-Aminobutyl)-N-(1,3-Dihydroxy-2-Methylpropan-2-Yl)-13-(1-Hydroxyethyl)-19-(1H-Indol-3-Ylmethyl)-12,15,18,21,24-Pentaoxo-22-(Phenylmethyl)-7,8-Dithia-11,14,17,20,23-Pentazaspiro[5.19]Pentacosane-10-Carboxamide
别名 16-(4-Aminobutyl)-13-(1-Hydroxyethyl)-N-[2-Hydroxy-1-(Hydroxymethyl)-1-Methyl-Ethyl]-19-(1H-Indol-3-Ylmethyl)-12,15,18,21,24-Pentaoxo-22-(Phenylmethyl)-7,8-Dithia-11,14,17,20,23-Pentazaspiro[5.19]Pentacosane-10-Carboxamide; 16-(4-Aminobutyl)-13-(1-Hydroxyethyl)-N-[2-Hydroxy-1-(Hydroxymethyl)-1-Methylethyl]-19-(1H-Indol-3-Ylmethyl)-12,15,18,21,24-Pentaoxo-22-(Phenylmethyl)-7,8-Dithia-11,14,17,20,23-Pentazaspiro[5.19]Pentacosane-10-Carboxamide; 16-(4-Aminobutyl)-22-(Benzyl)-13-(1-Hydroxyethyl)-N-(2-Hydroxy-1-Methyl-1-Methylol-Ethyl)-19-(1H-Indol-3-Ylmethyl)-12,15,18,21,24-Pentaketo-7,8-Dithia-11,14,17,20,23-Pentazaspiro[5.19]Pentacosane-10-Carboxamide
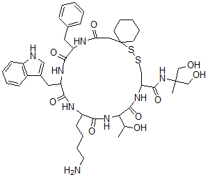
分子结构 CAS 登录号:150747-52-7, 16-(4-氨基丁基)-N-(1,3-二羟基-2-甲基丙烷-2-基)-13-(1-羟基乙基)-19-(1H-吲哚-3-基甲基)-12,15,18,21,24-五氧代-22-(苯基甲基)-7,8-二硫杂-11,14,17,20,23-五氮杂螺[5.19]二十五烷-10-甲酰胺
分子式 C45H64N8O9S2
分子量 925.17
CAS 登录号 150747-52-7
分子行输入简码 SMILES C1=C(C2=C([NH]1)C=CC=C2)CC3NC(=O)C(NC(=O)CC4(SSCC(NC(=O)C(NC(=O)C(NC3=O)CCCCN)C(O)C)C(=O)NC(CO)(CO)C)CCCCC4)CC5=CC=CC=C5
国际化学标识码 InChI 1S/C45H64N8O9S2/c1-28(56)38-43(62)51-36(42(61)53-44(2,26-54)27-55)25-63-64-45(18-10-4-11-19-45)23-37(57)48-34(21-29-13-5-3-6-14-29)40(59)50-35(22-30-24-47-32-16-8-7-15-31(30)32)41(60)49-33(39(58)52-38)17-9-12-20-46/h3,5-8,13-16,24,28,33-36,38,47,54-56H,4,9-12,17-23,25-27,46H2,1-2H3,(H,48,57)(H,49,60)(H,50,59)(H,51,62)(H,52,58)(H,53,61)
国际化学标识检索码 InChIKey NJVMKJXFXIAJHE-UHFFFAOYSA-N
物理化学性质
密度 1.366g/cm3 (计算值)
沸点 1335.293°C at 760 mmHg (计算值)
闪点 761.358°C (计算值)
市场分析报告
请浏览16-(4-氨基丁基)-N-(1,3-二羟基-2-甲基丙烷-2-基)-13-(1-羟基乙基)-19-(1H-吲哚-3-基甲基)-12,15,18,21,24-五氧代-22-(苯基甲基)-7,8-二硫杂-11,14,17,20,23-五氮杂螺[5.19]二十五烷-10-甲酰胺市场分析报告总目录
相关产品
16-(4-氨基丁基)-13-(1-羟基乙基)-N...  (2,6-二丁基苯基)甲胺  (8R,9S,13S,14S,17S)-17-(4...  2,5-二氯苯基砷酸  2-[2-[4-[二(4-氟苯基)甲基]哌嗪-1-...  (Z)-十八碳-9-烯-1-磺酸钠  3-(3-甲氧基苯基)-alpha-苯基-3-丙基...  beta-[3-(3-甲氧基苯基)-3-丙基-1-...  1-氟苯并[a]芘  3-氟苯并[a]芘  1-庚基-3-(3-甲氧基苯基)-3-丙基吡咯烷  苯基甲基N-[(2S,3S)-3-羟基-4-[[(...  2-(4-甲氧基苯氧基)丙酸钠  甲基2-O,3-O,4-S-三苯甲酰基-4-硫代-...  齐考诺肽