Online Database of Chemicals from Around the World

(4aS,5R,6S)-5-乙烯基-6-[(2S,3R,4S,5S,6R)-3,4,5-三羟基-6-[[(2R,3R,4S,5S,6R)-3,4,5-三羟基-6-(羟基甲基)四氢吡喃-2-基]氧基甲基]四氢吡喃-2-基]氧基-4,4A,5,6-四氢-3H-吡喃并[5,4-c]吡喃-1-酮
[CAS# 151140-40-8]

供应商
CAS#: 151140-40-8
产品: (4aS,5R,6S)-5-乙烯基-6-[(2S,3R,4S,5S,6R)-3,4,5-三羟基-6-[[(2R,3R,4S,5S,6R)-3,4,5-三羟基-6-(羟基甲基)四氢吡喃-2-基]氧基甲基]四氢吡喃-2-基]氧基-4,4A,5,6-四氢-3H-吡喃并[5,4-c]吡喃-1-酮
暂时没有厂家供应该产品。
基本信息
产品名称 (4aS,5R,6S)-5-乙烯基-6-[(2S,3R,4S,5S,6R)-3,4,5-三羟基-6-[[(2R,3R,4S,5S,6R)-3,4,5-三羟基-6-(羟基甲基)四氢吡喃-2-基]氧基甲基]四氢吡喃-2-基]氧基-4,4A,5,6-四氢-3H-吡喃并[5,4-c]吡喃-1-酮
英文名 (4aS,5R,6S)-5-Ethenyl-6-[(2S,3R,4S,5S,6R)-3,4,5-Trihydroxy-6-[[(2R,3R,4S,5S,6R)-3,4,5-Trihydroxy-6-(Hydroxymethyl)Oxan-2-Yl]Oxymethyl]Oxan-2-Yl]Oxy-4,4A,5,6-Tetrahydro-3H-Pyrano[5,4-c]Pyran-1-One
别名 (4As,5R,6S)-6-[(2S,3R,4S,5S,6R)-3,4,5-Trihydroxy-6-[[(2R,3R,4S,5S,6R)-3,4,5-Trihydroxy-6-(Hydroxymethyl)Tetrahydropyran-2-Yl]Oxymethyl]Tetrahydropyran-2-Yl]Oxy-5-Vinyl-4,4A,5,6-Tetrahydro-3H-Pyrano[5,4-C]Pyran-1-One; (4As,5R,6S)-6-[[(2S,3R,4S,5S,6R)-3,4,5-Trihydroxy-6-[[(2R,3R,4S,5S,6R)-3,4,5-Trihydroxy-6-(Hydroxymethyl)-2-Tetrahydropyranyl]Oxymethyl]-2-Tetrahydropyranyl]Oxy]-5-Vinyl-4,4A,5,6-Tetrahydro-3H-Pyrano[5,4-C]Pyran-1-One; (4As,5R,6S)-6-[(2S,3R,4S,5S,6R)-3,4,5-Trihydroxy-6-[[(2R,3R,4S,5S,6R)-3,4,5-Trihydroxy-6-Methylol-Tetrahydropyran-2-Yl]Oxymethyl]Tetrahydropyran-2-Yl]Oxy-5-Vinyl-4,4A,5,6-Tetrahydro-3H-Pyrano[5,4-C]Pyran-1-One
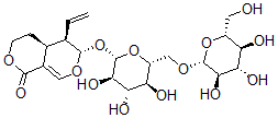
分子结构 CAS 登录号:151140-40-8, (4aS,5R,6S)-5-乙烯基-6-[(2S,3R,4S,5S,6R)-3,4,5-三羟基-6-[[(2R,3R,4S,5S,6R)-3,4,5-三羟基-6-(羟基甲基)四氢吡喃-2-基]氧基甲基]四氢吡喃-2-基]氧基-4,4A,5,6-四氢-3H-吡喃并[5,4-c]吡喃-1-酮
分子式 C22H32O14
分子量 520.49
CAS 登录号 151140-40-8
分子行输入简码 SMILES [C@H]34[C@H]([C@H](O[C@@H]1O[C@@H]([C@@H](O)[C@H](O)[C@H]1O)CO[C@@H]2O[C@@H]([C@@H](O)[C@H](O)[C@H]2O)CO)OC=C3C(OCC4)=O)C=C
国际化学标识码 InChI 1S/C22H32O14/c1-2-8-9-3-4-31-19(30)10(9)6-32-20(8)36-22-18(29)16(27)14(25)12(35-22)7-33-21-17(28)15(26)13(24)11(5-23)34-21/h2,6,8-9,11-18,20-29H,1,3-5,7H2/t8-,9+,11-,12-,13-,14-,15+,16+,17-,18-,20+,21-,22+/m1/s1
国际化学标识检索码 InChIKey LILOLDYAQAFVGN-DFOQSZTGSA-N
物理化学性质
密度 1.6g/cm3 (计算值)
沸点 827.857°C at 760 mmHg (计算值)
闪点 282.31°C (计算值)
市场分析报告
请浏览(4aS,5R,6S)-5-乙烯基-6-[(2S,3R,4S,5S,6R)-3,4,5-三羟基-6-[[(2R,3R,4S,5S,6R)-3,4,5-三羟基-6-(羟基甲基)四氢吡喃-2-基]氧基甲基]四氢吡喃-2-基]氧基-4,4A,5,6-四氢-3H-吡喃并[5,4-c]吡喃-1-酮市场分析报告总目录
相关产品
1-[3-[3-[4-(5-甲氧基嘧啶-4-基)哌...  4,8-二氨基-2-(4-乙氧基苯基)-1,5-二...  甘氨酰-组氨酰-omega(氨基羰基)赖氨酸单乙酸...  1-溴-1,3,5-三嗪-2,4,6(1H,3H,...  20 beta-二氢黄体酮  8-(1-氨基环戊基)-1,3-二丙基-7H-嘌呤...  1-环己基-3-[4-(环辛基氨基)吡啶-3-基]...  [2-(羟基甲基)-5-(5-甲基-2,4-二氧代...  甲基膦酰氟  2,3-二氧代己基磷酸二氢酯  环(乙酰基-青霉戊基-精氨酰-甘氨酰-天冬氨酰-半...  钚-239  硫35  铀-235  (3beta,5alpha,17beta,22be...