Online Database of Chemicals from Around the World

Calonyctin alpha-2B
[CAS# 151864-97-0]

Suppliers
CAS#: 151864-97-0
Product: Calonyctin alpha-2B
No suppilers available for the product.
Identification
Name Calonyctin alpha-2B
Synonyms Dc-2B; Tetradecanoic Acid, 11-((O-6-Deoxy-3-O-(3-Hydroxy-2-Methyl-1-Oxobutyl)-Beta-D-Glucopyranosyl-(1-3)-O-(6-Deoxy-Alpha-L-Mannopyranosyl-(1-2))-O-6-Deoxy-Beta-D-Glucopyranosyl-(1-2)-6-Deoxy-Beta-D-Glucopyranosyl)Oxy)-, Intramol 1,2'''-Ester
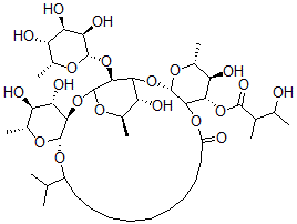
Molecular Structure CAS#: 151864-97-0, Calonyctin alpha-2B
Molecular Formula C43H74O20
Molecular Weight 911.05
CAS Registry Number 151864-97-0
SMILES [C@H]23OC4O[C@@H]([C@@H](O)C(O[C@@H]1O[C@@H]([C@@H](O)[C@H](OC(=O)C(C(O)C)C)C1OC(=O)CCCCCCCCCC(O[C@@H]2O[C@@H]([C@@H](O)[C@@H]3O)C)C(C)C)C)[C@@H]4O[C@@H]5O[C@@H]([C@H](O)[C@@H](O)[C@H]5O)C)C
InChI 1S/C43H74O20/c1-18(2)25-16-14-12-10-9-11-13-15-17-26(45)59-37-34(60-39(53)19(3)20(4)44)29(48)23(7)56-42(37)61-35-30(49)24(8)57-43(62-36-32(51)28(47)22(6)55-41(36)58-25)38(35)63-40-33(52)31(50)27(46)21(5)54-40/h18-25,27-38,40-44,46-52H,9-17H2,1-8H3/t19?,20?,21-,22-,23-,24-,25?,27+,28-,29-,30-,31-,32+,33-,34+,35?,36-,37?,38+,40+,41+,42+,43?/m1/s1
InChIKey YMZMABJWBKTPSA-PGQLVXIPSA-N
Properties
Density 1.343g/cm3 (Cal.)
Boiling point 976.81°C at 760 mmHg (Cal.)
Flash point 279.43°C (Cal.)
Market Analysis Reports
List of Reports Available for Calonyctin alpha-2B
Related Products
2-(3-Methyl-2-Butenyl)-3-Methylfuran  (4R,5S,6S,7R)-5,6-Dihydroxy-1,3-Bis[[4-(...  2-Nitro-5-[(4Z,8Z,12Z,16Z)-5,9,13,17,21-...  [(2R,3S,4R,5R)-5-(6-Aminopurin-9-Yl)-3,4...  1,3,3-Trichlorobutane  2-(Hydroxymethyl)-2-Phenylindene-1,3-Dio...  4-Cyclopentylphenol  Hydroxyamphetamine  [2-[2-(3',6'-Dihydroxy-1-Oxospiro[2-Benz...  3',6'-Dihydroxy-1-Oxo-N'-(2-Sulfanylacet...  7-(3-Amino-2-Oxoazepan-1-Yl)-1-Cycloprop...  [(2S,5R)-5-[6,8-Diamino-1-[(2R,5R)-3,4-D...  6-Chloro-N-[[(1S,8S)-2,3,5,6,7,8-Hexahyd...  7-Hydroxy-1,4,6,7-Tetrahydroimidazo[1,2-...  (2R,3S,5R)-5-[2-Fluoro-6-(2-Trimethylsil...