Online Database of Chemicals from Around the World

Sieboldianoside B
[CAS# 152407-00-6]

供应商
CAS#: 152407-00-6
产品: Sieboldianoside B
暂时没有厂家供应该产品。
基本信息
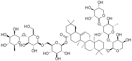
产品名称 Sieboldianoside B
英文名 Sieboldianoside B
别名 [(2S,3R,4S,5S,6R)-6-[[(2R,3R,4R,5S,6R)-3,4-Dihydroxy-6-(Hydroxymethyl)-5-[(2S,3R,4R,5R,6S)-3,4,5-Trihydroxy-6-Methyl-Oxan-2-Yl]Oxy-Oxan-2-Yl]Oxymethyl]-3,4,5-Trihydroxy-Oxan-2-Yl] (4As,6Ar,6As,6Br,8Ar,10S,12Ar,14Bs)-10-[(2S,3R,4S,5S)-3-[(2S,3R,4R,5S,6S)-3,5-Dihydroxy-6-Methyl-4-[(2S,3R,4S,5R)-3,4,5-Trihydroxyoxan-2-Yl]Oxy-Oxan-2-Yl]Oxy-4,5-Dihydroxy-Oxan-2-Yl]Oxy-2,2,6A,6B,9,9,12A-Heptamethyl-1,3,4,5,6,6A,7,8,8A,10,11,12,13,14B-Tetradecahydropicene-4A-Carboxylate; Oleanolic Acid 3-O-Beta-D-Xylopyranosyl(1-3)-Alpha-L-Rhamnopyranosyl(1-2)-Alpha-L-Arabinopyranoside; Sieboldianoside B
分子结构 CAS 登录号:152407-00-6, Sieboldianoside B
分子式 C64H104O29
分子量 1337.51
CAS 登录号 152407-00-6
分子行输入简码 SMILES [C@]28(C(=CC[C@@H]3[C@]1(CC[C@@H](C([C@@H]1CC[C@@]23C)(C)C)O[C@H]6[C@H](O[C@H]5[C@@H]([C@H](O[C@H]4[C@@H]([C@@H](O)[C@@H](CO4)O)O)[C@H]([C@@H](O5)C)O)O)[C@@H](O)[C@H](CO6)O)C)[C@@H]7CC(C)(C)CC[C@@]7(CC8)C(O[C@H]9[C@@H]([C@@H](O)[C@@H]([C@H](O9)CO[C@H]%10[C@@H]([C@@H](O)[C@@H]([C@H](O%10)CO)O[C@H]%11[C@@H]([C@H](O)[C@H]([C@@H](O%11)C)O)O)O)O)O)=O)C
国际化学标识码 InChI 1S/C64H104O29/c1-25-36(68)41(73)45(77)54(85-25)90-49-31(21-65)87-52(47(79)43(49)75)84-24-32-40(72)42(74)46(78)55(88-32)93-58(81)64-18-16-59(3,4)20-28(64)27-10-11-34-61(7)14-13-35(60(5,6)33(61)12-15-63(34,9)62(27,8)17-19-64)89-57-51(39(71)30(67)23-83-57)92-56-48(80)50(37(69)26(2)86-56)91-53-44(76)38(70)29(66)22-82-53/h10,25-26,28-57,65-80H,11-24H2,1-9H3/t25-,26-,28-,29+,30-,31+,32+,33-,34+,35-,36-,37-,38-,39-,40+,41+,42-,43+,44+,45+,46+,47+,48+,49+,50+,51+,52+,53-,54-,55-,56-,57-,61-,62+,63+,64-/m0/s1
国际化学标识检索码 InChIKey GROQHEZXWUJYNW-ITUQRZNASA-N
物理化学性质
密度 1.5g/cm3 (计算值)
市场分析报告
请浏览Sieboldianoside B市场分析报告总目录
相关产品
11-[2-[6-[甲基-[8-[甲基-[6-[[...  [5-[2-氨基-8-[(3,8-二甲基-3aH-...  五氨合碳酸钴(III)硝酸盐半水合物  湖北皂素D  湖北皂素E  6-[(11-羧基-14b-甲酰基-4,4,6a,...  (2S,3S,4S,5S,6R)-2-(5-甲基-...  2-(4-乙氧基苯基)-3a,4,7,7a-四氢-...  3-乙酰氨基-1-(4-甲基苯基)硫脲  2-乙酰氨基-6-氨基己酸  N-[(2S,3S,4R,5S,6R)-4,6-二...  四(五氟苯基)硅烷  阿拉洛芬  2,7-二甲基-1-辛醇  4-氨基-1-[(3S,4S,5R)-3-(氟甲基...