Online Database of Chemicals from Around the World

Ferrichrome
[CAS# 15258-80-7]

Suppliers
CAS#: 15258-80-7
Product: Ferrichrome
No suppilers available for the product.
Identification
Name Ferrichrome
Synonyms Ferric (Z)-5-[3-[11,14-Bis(Hydroxymethyl)-5,8-Bis[3-[[(E)-5-Hydroxy-3-Methyl-5-Oxo-Pent-2-Enoyl]-Oxido-Amino]Propyl]-3,6,9,12,15,18-Hexaoxo-1,4,7,10,13,16-Hexazacyclooctadec-2-Yl]Propyl-Oxido-Amino]-3-Methyl-5-Oxo-Pent-3-Enoic Acid; Ferric (Z)-5-[3-[11,14-Bis(Hydroxymethyl)-5,8-Bis[3-[[(E)-5-Hydroxy-3-Methyl-1,5-Dioxopent-2-Enyl]-Oxidoamino]Propyl]-3,6,9,12,15,18-Hexaoxo-1,4,7,10,13,16-Hexazacyclooctadec-2-Yl]Propyl-Oxidoamino]-3-Methyl-5-Oxopent-3-Enoic Acid; Ferric (Z)-5-[3-[5,8-Bis[3-[[(E)-5-Hydroxy-5-Keto-3-Methyl-Pent-2-Enoyl]-Oxido-Amino]Propyl]-3,6,9,12,15,18-Hexaketo-11,14-Dimethylol-1,4,7,10,13,16-Hexazacyclooctadec-2-Yl]Propyl-Oxido-Amino]-5-Keto-3-Methyl-Pent-3-Enoic Acid
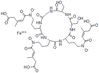
Molecular Structure CAS#: 15258-80-7, Ferrichrome
Molecular Formula C41H58FeN9O20
Molecular Weight 1052.80
CAS Registry Number 15258-80-7
EINECS 239-301-9
SMILES C(C1NC(=O)C(NC(=O)C(NC(=O)CNC(=O)C(NC(=O)C(NC1=O)CO)CO)CCCN([O-])C(=O)\C=C(/CC(=O)O)C)CCCN([O-])C(=O)\C=C(\CC(=O)O)C)CCN([O-])C(=O)\C=C(/CC(=O)O)C.[Fe+3]
InChI 1S/C41H58N9O20.Fe/c1-22(16-34(57)58)13-31(54)48(68)10-4-7-25-38(64)44-26(8-5-11-49(69)32(55)14-23(2)17-35(59)60)39(65)45-27(9-6-12-50(70)33(56)15-24(3)18-36(61)62)40(66)47-29(21-52)41(67)46-28(20-51)37(63)42-19-30(53)43-25;/h13-15,25-29,51-52H,4-12,16-21H2,1-3H3,(H,42,63)(H,43,53)(H,44,64)(H,45,65)(H,46,67)(H,47,66)(H,57,58)(H,59,60)(H,61,62);/q-3;+3/b22-13-,23-14+,24-15-;
InChIKey GLLVIRNJIQOQJW-LDEMJYSLSA-N
Market Analysis Reports
List of Reports Available for Ferrichrome
Related Products
1-[(2R,4S,5R)-4-Hydroxy-5-(Hydroxymethyl...  Methyl (8S,9R,10S,11S,13S,14S,16R,17S)-9...  cis-Chrysanthemic Acid  6-alpha-Fluoro-21-Hydroxy-16alpha,17alph...  2-(1-Phenylethenyl)Pyridine  5-Amino-10-Bromo-4H-Pyrido(2,3,4-kl)Acri...  5,5-Dimethylthiazolidine-4-Carboxylic Ac...  (1aS-(1aalpha,3abeta,3balpha,4alpha,5bet...  [(9S,10S)-10-Hydroxy-8,8-Dimethyl-2-Oxo-...  1-(2,3-Dihydro-1-Benzofuran-5-Yl)Propan-...  2-Butyl-5-Methylcyclopent-2-En-1-One  6-Nitro-2,1-Benzisoxazole  3-Dimethylphosphinothioyl-1,3-Oxazol-2-O...  Bruceanol D  Bruceanol E