|
CAS#: 15271-73-5 产品: 4-O-羧甲基-21-脱氧-20-羟基-21-氧代利福霉素 暂时没有厂家供应该产品。 |
| 产品名称 | 4-O-羧甲基-21-脱氧-20-羟基-21-氧代利福霉素 |
|---|---|
| 英文名 | 4-O-Carboxymethyl-21-Deoxy-20-Hydroxy-21-Oxorifamycin |
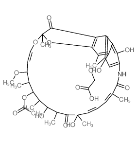
| 分子结构 | ![]() |
| 分子式 | C39H47NO15 |
| 分子量 | 769.80 |
| CAS 登录号 | 15271-73-5 |
| 分子行输入简码 SMILES | C(OC1=C2C4=C3OC(O\C=C/C(OC)C(C(OC(=O)C)C(C(O)C(C(=O)C(O)(C)\C=C/C=C(C(=O)NC(=C1)C(=C2C(=C3C)O)O)/C)C)C)C)(C4=O)C)C(O)=O |
| 国际化学标识码 InChI | 1S/C39H47NO15/c1-17-11-10-13-38(7,50)35(47)21(5)30(44)19(3)33(54-22(6)41)18(2)24(51-9)12-14-53-39(8)36(48)29-27-25(52-16-26(42)43)15-23(40-37(17)49)32(46)28(27)31(45)20(4)34(29)55-39/h10-15,18-19,21,24,30,33,44-46,50H,16H2,1-9H3,(H,40,49)(H,42,43)/b13-10-,14-12-,17-11- |
| 国际化学标识检索码 InChIKey | WVPVVIOXGMSGRF-AYDMIGIISA-N |
| 市场分析报告 |
| 请浏览4-O-羧甲基-21-脱氧-20-羟基-21-氧代利福霉素市场分析报告总目录 |