Online Database of Chemicals from Around the World

Sialokinin II
[CAS# 152923-42-7]

供应商
CAS#: 152923-42-7
产品: Sialokinin II
暂时没有厂家供应该产品。
基本信息
产品名称 Sialokinin II
英文名 Sialokinin II
别名 (3S)-4-[[(1S)-5-Amino-1-[[(1S)-2-[[(1S)-2-[[2-[[(1S)-1-[[(1S)-1-Carbamoyl-3-Methylsulfanyl-Propyl]Carbamoyl]-3-Methyl-Butyl]Amino]-2-Oxo-Ethyl]Amino]-1-[(4-Hydroxyphenyl)Methyl]-2-Oxo-Ethyl]Amino]-2-Oxo-1-(Phenylmethyl)Ethyl]Carbamoyl]Pentyl]Amino]-3-[[2-[[(2S,3R)-2-[[(2S)-2-Amino-4-Hydroxy-4-Oxo-Butanoyl]Amino]-3-Hydroxy-Butanoyl]Amino]Acetyl]Amino]-4-Oxo-Butanoic Acid; (3S)-4-[[(1S)-5-Amino-1-[[[(1S)-2-[[(1S)-2-[[2-[[(1S)-1-[[[(1S)-1-Carbamoyl-3-(Methylthio)Propyl]Amino]-Oxomethyl]-3-Methylbutyl]Amino]-2-Oxoethyl]Amino]-1-[(4-Hydroxyphenyl)Methyl]-2-Oxoethyl]Amino]-2-Oxo-1-(Phenylmethyl)Ethyl]Amino]-Oxomethyl]Pentyl]Amino]-3-[[2-[[(2S,3R)-2-[[(2S)-2-Amino-4-Hydroxy-1,4-Dioxobutyl]Amino]-3-Hydroxy-1-Oxobutyl]Amino]-1-Oxoethyl]Amino]-4-Oxobutanoic Acid; (3S)-4-[[(1S)-5-Amino-1-[[(1S)-1-(Benzyl)-2-[[(1S)-2-[[2-[[(1S)-1-[[(1S)-1-Carbamoyl-3-(Methylthio)Propyl]Carbamoyl]-3-Methyl-Butyl]Amino]-2-Keto-Ethyl]Amino]-1-(4-Hydroxybenzyl)-2-Keto-Ethyl]Amino]-2-Keto-Ethyl]Carbamoyl]Pentyl]Amino]-3-[[2-[[(2S,3R)-2-[[(2S)-2-Amino-4-Hydroxy-4-Keto-Butanoyl]Amino]-3-Hydroxy-Butanoyl]Amino]Acetyl]Amino]-4-Keto-Butyric Acid
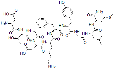
分子结构 CAS 登录号:152923-42-7, Sialokinin II
分子式 C51H76N12O16S
分子量 1145.29
CAS 登录号 152923-42-7
分子行输入简码 SMILES [C@@H](NC(=O)[C@@H](NC(=O)[C@@H](NC(=O)CNC(=O)[C@@H](NC(=O)[C@@H](N)CC(=O)O)[C@H](O)C)CC(=O)O)CCCCN)(C(=O)N[C@H](C(=O)NCC(=O)N[C@H](C(=O)N[C@H](C(=O)N)CCSC)CC(C)C)CC1=CC=C(O)C=C1)CC2=CC=CC=C2
国际化学标识码 InChI 1S/C51H76N12O16S/c1-27(2)20-35(48(76)59-33(44(54)72)17-19-80-4)57-39(66)25-55-46(74)36(22-30-13-15-31(65)16-14-30)61-49(77)37(21-29-10-6-5-7-11-29)62-47(75)34(12-8-9-18-52)60-50(78)38(24-42(70)71)58-40(67)26-56-51(79)43(28(3)64)63-45(73)32(53)23-41(68)69/h5-7,10-11,13-16,27-28,32-38,43,64-65H,8-9,12,17-26,52-53H2,1-4H3,(H2,54,72)(H,55,74)(H,56,79)(H,57,66)(H,58,67)(H,59,76)(H,60,78)(H,61,77)(H,62,75)(H,63,73)(H,68,69)(H,70,71)/t28-,32+,33+,34+,35+,36+,37+,38+,43+/m1/s1
国际化学标识检索码 InChIKey DAASCSHCPGXAAM-FBCVKHONSA-N
物理化学性质
密度 1.335g/cm3 (计算值)
沸点 1618.535°C at 760 mmHg (计算值)
闪点 932.656°C (计算值)
市场分析报告
请浏览Sialokinin II市场分析报告总目录
相关产品
三乙基苯氧基锡烷  4-氨基-2-(4,4-二甲基-2-氧代咪唑烷-1...  9H-芴-9-甲腈  6-溴吡啶并[2,3-d]嘧啶-2,4-二胺  (2,2-二乙氧基-1-甲基乙基)苯  三(二十)烷基铝  三(十四)烷基铝  三(十二烷基)铝  2-羟基-3-(3-羟基-3-甲基丁基)-1,4-...  1,1-二苯基庚烷  9,9'-联芴  8-乙氧基喹啉-5-磺酸  安他非尼  贝齐米特  2-(环丙基氨基)-5-苯基-1,3-恶唑-4-酮