Online Database of Chemicals from Around the World

Transsylvanoside A
[CAS# 155569-77-0]

供应商
CAS#: 155569-77-0
产品: Transsylvanoside A
暂时没有厂家供应该产品。
基本信息
产品名称 Transsylvanoside A
英文名 Transsylvanoside A
别名 (4As,6Ar,6As,6Br,8Ar,9R,10S,12Ar,14Bs)-10-[(2S,3R,4R,5R)-5-[(2S,3R,4S,5R,6S)-3,4-Dihydroxy-6-Methyl-5-[(2S,3R,4S,5S,6R)-3,4,5-Trihydroxy-6-[[(2R,3R,4S,5S,6R)-3,4,5-Trihydroxy-6-(Hydroxymethyl)Tetrahydropyran-2-Yl]Oxymethyl]Tetrahydropyran-2-Yl]Oxy-Tetrahydropyran-2-Yl]Oxy-3,4-Dihydroxy-Tetrahydropyran-2-Yl]Oxy-9-(Hydroxymethyl)-2,2,6A,6B,9,12A-Hexamethyl-1,3,4,5,6,6A,7,8,8A,10,11,12,13,14B-Tetradecahydropicene-4A-Carboxylic Acid; (4As,6Ar,6As,6Br,8Ar,9R,10S,12Ar,14Bs)-10-[[(2S,3R,4R,5R)-5-[[(2S,3R,4S,5R,6S)-3,4-Dihydroxy-6-Methyl-5-[[(2S,3R,4S,5S,6R)-3,4,5-Trihydroxy-6-[[(2R,3R,4S,5S,6R)-3,4,5-Trihydroxy-6-(Hydroxymethyl)-2-Tetrahydropyranyl]Oxymethyl]-2-Tetrahydropyranyl]Oxy]-2-Tetrahydropyranyl]Oxy]-3,4-Dihydroxy-2-Tetrahydropyranyl]Oxy]-9-(Hydroxymethyl)-2,2,6A,6B,9,12A-Hexamethyl-1,3,4,5,6,6A,7,8,8A,10,11,12,13,14B-Tetradecahydropicene-4A-Carboxylic Acid; (4As,6Ar,6As,6Br,8Ar,9R,10S,12Ar,14Bs)-10-[(2S,3R,4R,5R)-5-[(2S,3R,4S,5R,6S)-3,4-Dihydroxy-6-Methyl-5-[(2S,3R,4S,5S,6R)-3,4,5-Trihydroxy-6-[[(2R,3R,4S,5S,6R)-3,4,5-Trihydroxy-6-Methylol-Tetrahydropyran-2-Yl]Oxymethyl]Tetrahydropyran-2-Yl]Oxy-Tetrahydropyran-2-Yl]Oxy-3,4-Dihydroxy-Tetrahydropyran-2-Yl]Oxy-2,2,6A,6B,9,12A-Hexamethyl-9-Methylol-1,3,4,5,6,6A,7,8,8A,10,11,12,13,14B-Tetradecahydropicene-4A-Carboxylic Acid
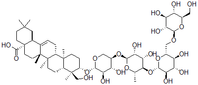
分子结构 CAS 登录号:155569-77-0, Transsylvanoside A
分子式 C53H86O22
分子量 1075.25
CAS 登录号 155569-77-0
分子行输入简码 SMILES [C@@H]14[C@]([C@]2(C(=CC1)[C@H]3[C@](CC2)(C(=O)O)CCC(C3)(C)C)C)(CC[C@@H]9[C@@]4(CC[C@H](O[C@@H]8OC[C@@H](O[C@@H]7O[C@H]([C@H](O[C@@H]5O[C@@H]([C@@H](O)[C@H](O)[C@H]5O)CO[C@@H]6O[C@@H]([C@@H](O)[C@H](O)[C@H]6O)CO)[C@@H](O)[C@H]7O)C)[C@H](O)[C@H]8O)[C@]9(CO)C)C)C
国际化学标识码 InChI 1S/C53H86O22/c1-23-42(75-46-40(64)36(60)33(57)27(73-46)20-68-43-39(63)35(59)32(56)26(19-54)71-43)37(61)41(65)45(70-23)72-28-21-69-44(38(62)34(28)58)74-31-11-12-49(4)29(50(31,5)22-55)10-13-52(7)30(49)9-8-24-25-18-48(2,3)14-16-53(25,47(66)67)17-15-51(24,52)6/h8,23,25-46,54-65H,9-22H2,1-7H3,(H,66,67)/t23-,25-,26+,27+,28+,29+,30+,31-,32+,33+,34-,35-,36-,37-,38+,39+,40+,41+,42-,43+,44-,45-,46-,49-,50-,51+,52+,53-/m0/s1
国际化学标识检索码 InChIKey MQDPNHFRYVCDQE-WJBLRBLFSA-N
物理化学性质
密度 1.463g/cm3 (计算值)
市场分析报告
请浏览Transsylvanoside A市场分析报告总目录
相关产品
(2R)-2-苯基-2-[(2R,3R,4S,5S...  二(苯乙酸)酸酐  [3-羟基-2-[6-[(4-硝基-2,1,3-苯...  (3Z)-4-(4-溴苯基)-3-[(4-溴苯基)...  (3Z)-1,4,5-三(苯基)-3-(苯基亚甲基...  (3Z)-3-[(4-溴苯基)亚甲基]-1,4,5...  3,5-二甲氧基-N,N-二(丙-2-基)-4-丙...  2-[4-(丁硫基)-3-甲基苯基]乙酰氧肟酸  (2-氯-5-甲基-苯氧基)-乙酸  4-丁氧基-a-乙基-N-羟基-苯乙酰胺  4-氨基-1-[(2R,3S,4S,5R)-3-羟...  4-氨基-1-[(2R,3S,4R,5R)-5-(...  4-丁氧基-3-氯苯乙酸  2-(4-丁氧基-3-甲氧基苯基)乙酰氧肟酸  2-[3-氯-4-(异戊氧基)苯基]乙酰氧肟酸