Online Database of Chemicals from Around the World

Protegrin-4
[CAS# 157214-61-4]

Suppliers
CAS#: 157214-61-4
Product: Protegrin-4
No suppilers available for the product.
Identification
Name Protegrin-4
Synonyms Protegrin Pg-4; Aids-115764; Aids115764
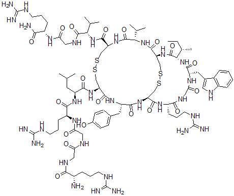
Molecular Structure CAS#: 157214-61-4, Protegrin-4
Molecular Formula C86H138N32O19S4
Molecular Weight 2052.48
CAS Registry Number 157214-61-4
SMILES [C@H]3(CC1=C[NH]C2=C1C=CC=C2)C(N[C@H](C(N[C@H]4CSSC[C@@H](C(N[C@H](C(NCC(N3)=O)=O)CCCNC(N)=N)=O)NC([C@@H](NC([C@H](CSSC[C@H](NC([C@@H](NC4=O)C(C)C)=O)C(=O)N[C@@H](C(C)C)C(NCC(N[C@@H](CCCNC(=N)N)C(N)=O)=O)=O)NC(=O)[C@H](CC(C)C)NC([C@H](CCCNC(N)=N)NC(=O)CNC(CNC(=O)[C@H](CCCNC(N)=N)N)=O)=O)=O)CC5=CC=C(C=C5)O)=O)=O)[C@H](CC)C)=O
InChI 1S/C86H138N32O19S4/c1-9-45(8)68-82(137)115-61-41-141-138-38-58(76(131)109-53(20-14-28-99-85(93)94)71(126)104-36-65(123)108-57(75(130)118-68)32-47-33-101-51-18-11-10-16-49(47)51)113-74(129)56(31-46-22-24-48(119)25-23-46)111-77(132)59(112-73(128)55(30-42(2)3)110-72(127)54(21-15-29-100-86(95)96)107-63(121)35-102-62(120)34-103-70(125)50(87)17-12-26-97-83(89)90)39-139-140-40-60(114-81(136)67(44(6)7)117-79(61)134)78(133)116-66(43(4)5)80(135)105-37-64(122)106-52(69(88)124)19-13-27-98-84(91)92/h10-11,16,18,22-25,33,42-45,50,52-61,66-68,101,119H,9,12-15,17,19-21,26-32,34-41,87H2,1-8H3,(H2,88,124)(H,102,120)(H,103,125)(H,104,126)(H,105,135)(H,106,122)(H,107,121)(H,108,123)(H,109,131)(H,110,127)(H,111,132)(H,112,128)(H,113,129)(H,114,136)(H,115,137)(H,116,133)(H,117,134)(H,118,130)(H4,89,90,97)(H4,91,92,98)(H4,93,94,99)(H4,95,96,100)/t45-,50-,52-,53-,54-,55-,56-,57-,58-,59-,60-,61-,66-,67-,68-/m0/s1
InChIKey DUDXZJRHGONAAZ-ZFOLPASKSA-N
Market Analysis Reports
List of Reports Available for Protegrin-4
Related Products
(2,2,4-Trimethyl-3-Nonanoyloxy-Pentyl) N...  1,2-Diazacyclopropa-2,3-Diene  Olsalazine  6,3'-p-Dihydroxypaclitaxel  2-Acetamido-N-(4-Chloro-3-Oxo-1-Phenylpe...  N,N'-Acridine-3,6-Diyldi(Acetamide)  2,4-Dioxopentyl Dihydrogen Phosphate  (E)-beta-Chloroacrylophenone  (alphae)-beta-Chloro-4'-Methoxyacrylophe...  (E)-4',beta-Dichloroacrylophenone  3-(4-Methoxybenzylidene)Pentane-2,4-Dion...  N-[2-[4-[(2-Ethyl-5,7-Dimethylimidazo[5,...  Dioxirane  4-Pentanoyloxybutyl Pentanoate  Allyl Isobutyrate