Online Database of Chemicals from Around the World

尿苷-L-阿拉伯糖
[CAS# 15839-78-8]

供应商
CAS#: 15839-78-8
产品: 尿苷-L-阿拉伯糖
暂时没有厂家供应该产品。
基本信息
产品名称 尿苷-L-阿拉伯糖
英文名 Udp-L-Arabinose
别名 [(2R,3S,4R,5R)-5-(2,4-Dioxopyrimidin-1-Yl)-3,4-Dihydroxy-Tetrahydrofuran-2-Yl]Methyl [Hydroxy-[(2R,3R,4S,5S)-3,4,5-Trihydroxytetrahydropyran-2-Yl]Oxy-Phosphoryl] Hydrogen Phosphate; [(2R,3S,4R,5R)-5-(2,4-Dioxo-1-Pyrimidinyl)-3,4-Dihydroxy-2-Tetrahydrofuranyl]Methyl [Hydroxy-[[(2R,3R,4S,5S)-3,4,5-Trihydroxy-2-Tetrahydropyranyl]Oxy]Phosphoryl] Hydrogen Phosphate; [(2R,3S,4R,5R)-5-(2,4-Diketopyrimidin-1-Yl)-3,4-Dihydroxy-Tetrahydrofuran-2-Yl]Methyl [Hydroxy-[(2R,3R,4S,5S)-3,4,5-Trihydroxytetrahydropyran-2-Yl]Oxy-Phosphoryl] Hydrogen Phosphate
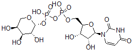
分子结构 CAS 登录号:15839-78-8, 尿苷-L-阿拉伯糖
分子式 C14H22N2O16P2
分子量 536.28
CAS 登录号 15839-78-8
分子行输入简码 SMILES [C@H]2(N1C(NC(C=C1)=O)=O)[C@@H]([C@H](O)[C@H](O2)CO[P](O[P](O[C@@H]3[C@@H]([C@@H](O)[C@H](CO3)O)O)(=O)O)(=O)O)O
国际化学标识码 InChI 1S/C14H22N2O16P2/c17-5-3-28-13(11(22)8(5)19)31-34(26,27)32-33(24,25)29-4-6-9(20)10(21)12(30-6)16-2-1-7(18)15-14(16)23/h1-2,5-6,8-13,17,19-22H,3-4H2,(H,24,25)(H,26,27)(H,15,18,23)/t5-,6+,8-,9+,10+,11+,12+,13+/m0/s1
国际化学标识检索码 InChIKey DQQDLYVHOTZLOR-IAZOVDBXSA-N
物理化学性质
密度 1.969g/cm3 (计算值)
市场分析报告
请浏览尿苷-L-阿拉伯糖市场分析报告总目录
相关产品
顺式-2-甲基-3-己烯  1,1'-二(异薄荷酮)  环己基环己烷甲酸酯  1,1,4,4-四甲基-环癸烷  (S)-氨基-(3-硝基-苯基)-乙酸  甲酸镍盐  丙-1-酮  9-氟-17beta-羟基-17-甲基-5beta...  铜次氮基三乙酸盐  普索洛尔  锆硬脂酸盐  原磷酸氢铅盐  二氟可龙特戊酸酯  3-氨基巴豆酰胺  4-氨基-1,4,5,6-四氢-2,4-二甲基-6...