Online Database of Chemicals from Around the World

甲基(2S)-2-丁基氨基丙烷酸酯
[CAS# 162152-13-8]

供应商
深圳爱拓化学有限公司 中国 询价快递  
+86 13417589054//+86 13424336463
info@atomaxchem.com,atomax.chemicals@gmail.com,
QQ 交流
化学品生产商
Otava Ltd. 乌克兰 询价快递  
+380 (44) 522-2458
order@otavachemicals.com
化学品生产商(1997 年起)
基本信息
产品名称 甲基(2S)-2-丁基氨基丙烷酸酯
英文名 Methyl (2S)-2-Butylaminopropanoate
别名 (S)-methyl 2-(butylamino)propanoate
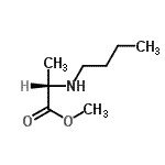
分子结构 CAS 登录号:162152-13-8, 甲基(2S)-2-丁基氨基丙烷酸酯
分子式 C8H17NO2
分子量 159.23
CAS 登录号 162152-13-8
分子行输入简码 SMILES COC(=O)[C@H](C)NCCCC
国际化学标识码 InChI 1S/C8H17NO2/c1-4-5-6-9-7(2)8(10)11-3/h7,9H,4-6H2,1-3H3/t7-/m0/s1
国际化学标识检索码 InChIKey NELVBJNELOBGSL-ZETCQYMHSA-N
物理化学性质
密度 0.919g/cm3 (计算值)
沸点 196.591°C at 760 mmHg (计算值)
闪点 72.696°C (计算值)
折射率 1.426 (计算值)
市场分析报告
请浏览甲基(2S)-2-丁基氨基丙烷酸酯市场分析报告总目录
相关产品
1-(2-甲基苯基)-2-苯乙酮  S,S'-[(甲基亚胺)二-2,1-乙二基]二甲烷...  [3-(环丙基羰基)苯基]氨基甲酸苄酯  5,6-二甲基-5,6-二氢-5,6-屈二醇  1-氮杂双环[3.2.1]辛烷-6-酮  1-甲基喹啉鎓4-甲基苯磺酸酯  N-甲基-N-亚硝基-2-嘧啶胺  N-甲基-N-亚硝基-4-嘧啶胺  (1R,5S,6S)-1-甲基-3-氮杂双环[3....  (1R,5S,6S)-5-甲基-3-氮杂双环[3....  3-(2-甲基-2-丙基)-4,5-二氢-1H-吡...  (E)-1-[(Z)-(4-甲基苯基)(苯基亚肼基...  (E)-1-[(Z)-(4-氯苯基)(苯基亚肼基)...  甲基3-异丙基-4,5-二氢-1,2-恶唑-5-羧...  (1R,3S)-2,2,3-三甲基环丙烷羰基氯化物