|
CAS#: 162635-34-9 Product: Disodium [2-[5-acetamido-6-[2-[4,5-dihydroxy-2-(hydroxymethyl)-6-[(E)-3-phenylcarbonyloxy-2-(tetracosanoylamino)octadec-4-enoxy]oxan-3-yl]oxy-3,5-dihydroxy-6-(hydroxymethyl)oxan-4-yl]oxy-2-(hydroxymethyl)-4-(3,4,5-trihydroxy-6-methyl-oxan-2-yl)oxy-oxan-3-yl]oxy-5-hydroxy-6-(hydroxymethyl)-4-sulfonatooxy-oxan-3-yl] sulfate No suppilers available for the product. |
| Name | Disodium [2-[5-acetamido-6-[2-[4,5-dihydroxy-2-(hydroxymethyl)-6-[(E)-3-phenylcarbonyloxy-2-(tetracosanoylamino)octadec-4-enoxy]oxan-3-yl]oxy-3,5-dihydroxy-6-(hydroxymethyl)oxan-4-yl]oxy-2-(hydroxymethyl)-4-(3,4,5-trihydroxy-6-methyl-oxan-2-yl)oxy-oxan-3-yl]oxy-5-hydroxy-6-(hydroxymethyl)-4-sulfonatooxy-oxan-3-yl] sulfate |
|---|---|
| Synonyms | Disodium [2-[5-Acetamido-6-[2-[6-[(E)-3-(Benzoyloxy)-2-(Tetracosanoylamino)Octadec-4-Enoxy]-4,5-Dihydroxy-2-(Hydroxymethyl)Tetrahydropyran-3-Yl]Oxy-3,5-Dihydroxy-6-(Hydroxymethyl)Tetrahydropyran-4-Yl]Oxy-2-(Hydroxymethyl)-4-(3,4,5-Trihydroxy-6-Methyl-Tetrahydropyran-2-Yl)Oxy-Tetrahydropyran-3-Yl]Oxy-5-Hydroxy-6-(Hydroxymethyl)-4-Sulfonatooxy-Tetrahydropyran-3-Yl] Sulfate; Disodium [2-[[5-Acetamido-6-[[2-[[4,5-Dihydroxy-2-(Hydroxymethyl)-6-[(E)-3-(Oxo-Phenylmethoxy)-2-(1-Oxotetracosylamino)Octadec-4-Enoxy]-3-Tetrahydropyranyl]Oxy]-3,5-Dihydroxy-6-(Hydroxymethyl)-4-Tetrahydropyranyl]Oxy]-2-(Hydroxymethyl)-4-[(3,4,5-Trihydroxy-6-Methyl-2-Tetrahydropyranyl)Oxy]-3-Tetrahydropyranyl]Oxy]-5-Hydroxy-6-(Hydroxymethyl)-4-Sulfonatooxy-3-Tetrahydropyranyl] Sulfate; Disodium [2-[5-Acetamido-6-[2-[6-[(E)-3-(Benzoyloxy)-2-(Tetracosanoylamino)Octadec-4-Enoxy]-4,5-Dihydroxy-2-Methylol-Tetrahydropyran-3-Yl]Oxy-3,5-Dihydroxy-6-Methylol-Tetrahydropyran-4-Yl]Oxy-2-Methylol-4-(3,4,5-Trihydroxy-6-Methyl-Tetrahydropyran-2-Yl)Oxy-Tetrahydropyran-3-Yl]Oxy-5-Hydroxy-6-Methylol-4-Sulfato-Tetrahydropyran-3-Yl] Sulfate |
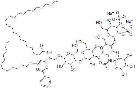
| Molecular Structure | ![]() |
| Molecular Formula | C81H138N2Na2O34S2 |
| Molecular Weight | 1794.07 |
| CAS Registry Number | 162635-34-9 |
| SMILES | C6=C(C(OC(C(NC(=O)CCCCCCCCCCCCCCCCCCCCCCC)COC5OC(C(OC4OC(C(O)C(OC3OC(C(OC1OC(C(O)C(O[S]([O-])(=O)=O)C1O[S]([O-])(=O)=O)CO)C(OC2OC(C(O)C(O)C2O)C)C3NC(=O)C)CO)C4O)CO)C(O)C5O)CO)\C=C\CCCCCCCCCCCCC)=O)C=CC=C6.[Na+].[Na+] |
| InChI | 1S/C81H140N2O34S2.2Na/c1-5-7-9-11-13-15-17-19-20-21-22-23-24-25-26-28-30-32-34-36-41-45-60(89)83-54(55(107-76(98)53-42-38-37-39-43-53)44-40-35-33-31-29-27-18-16-14-12-10-8-6-2)50-105-78-68(96)66(94)70(58(48-86)111-78)112-80-69(97)73(63(91)56(46-84)108-80)115-77-61(82-52(4)88)72(114-79-67(95)65(93)62(90)51(3)106-79)71(59(49-87)110-77)113-81-75(117-119(102,103)104)74(116-118(99,100)101)64(92)57(47-85)109-81;;/h37-40,42-44,51,54-59,61-75,77-81,84-87,90-97H,5-36,41,45-50H2,1-4H3,(H,82,88)(H,83,89)(H,99,100,101)(H,102,103,104);;/q;2*+1/p-2/b44-40+;; |
| InChIKey | NBSKLSZOBDZYMT-DPKQYIRLSA-L |