Online Database of Chemicals from Around the World

(2E,4E,6E,8E,10E,12E)-2,7,11-三甲基-13-(2,6,6-三甲基-1-环己烯-1-基)-2,4,6,8,10,12-十三六烯醛
[CAS# 1638-05-7]

供应商
CAS#: 1638-05-7
产品: (2E,4E,6E,8E,10E,12E)-2,7,11-三甲基-13-(2,6,6-三甲基-1-环己烯-1-基)-2,4,6,8,10,12-十三六烯醛
暂时没有厂家供应该产品。
基本信息
产品名称 (2E,4E,6E,8E,10E,12E)-2,7,11-三甲基-13-(2,6,6-三甲基-1-环己烯-1-基)-2,4,6,8,10,12-十三六烯醛
英文名 (2E,4E,6E,8E,10E,12E)-2,7,11-Trimethyl-13-(2,6,6-Trimethyl-1-Cyclohexen-1-Yl)-2,4,6,8,10,12-Tridecahexaenal
别名 12'-apo-β-carotenal
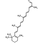
分子结构 CAS 登录号:1638-05-7, (2E,4E,6E,8E,10E,12E)-2,7,11-三甲基-13-(2,6,6-三甲基-1-环己烯-1-基)-2,4,6,8,10,12-十三六烯醛
分子式 C25H34O
分子量 350.54
CAS 登录号 1638-05-7
分子行输入简码 SMILES O=C\C(=C\C=C\C=C(\C=C\C=C(\C=C\C1=C(\CCCC1(C)C)C)C)C)C
国际化学标识码 InChI 1S/C25H34O/c1-20(11-7-8-12-22(3)19-26)13-9-14-21(2)16-17-24-23(4)15-10-18-25(24,5)6/h7-9,11-14,16-17,19H,10,15,18H2,1-6H3/b8-7+,13-9+,17-16+,20-11+,21-14+,22-12+
国际化学标识检索码 InChIKey BQTOMHXDSCUCFR-PHPDKTIJSA-N
物理化学性质
密度 0.949g/cm3 (计算值)
沸点 503.143°C at 760 mmHg (计算值)
闪点 243.777°C (计算值)
折射率 1.548 (计算值)
安全数据
SDS 化学品安全技术说明书参考文本
参考文献
(1) Tomáš Polívka, Shanti Kaligotla, Pavel CháberaCurrent address: Department of Chemical Physics, Lund University, Sweden. and Harry A. Frank. An intramolecular charge transfer state of carbonyl carotenoids: implications for excited state dynamics of apo-carotenals and retinal, Phys. Chem. Chem. Phys., 2011, 13, 10787.
市场分析报告
请浏览(2E,4E,6E,8E,10E,12E)-2,7,11-三甲基-13-(2,6,6-三甲基-1-环己烯-1-基)-2,4,6,8,10,12-十三六烯醛市场分析报告总目录
相关产品
1-甲基-1H-苯并咪唑-4-醇  (2S)-2-[甲氧基(二苯基)甲基]-1-[(E...  3,5-二甲基-1H-吲哚-2-羧酸  5-氯-3-甲基-1H-吲哚-2-羧酸  5-甲氧基-3-甲基-1H-吲哚-2-羧酸  5-乙氧基-1H-吲哚-2-羧酸乙酯  4-氯-N-十六烷基-N-甲基-3-硝基苯磺酰胺  (1R)-N-苄基-1-(1-萘基)乙胺盐酸盐(1...  [1,3]恶唑并[2,3,4-Cd]吡咯里嗪  氯磷酸二烯丙酯  1-[(4-氯苯基)(苯基)甲基]-4-[(4-甲...  3-(4-甲氧基苯基)-1,2-二苯基-1-丙酮  2-(4-甲氧基苯基)-3,3-二苯基丙烯醛  (2Z)-3-氨基-1-[(2S)-1-甲基-2-...  (5S)-5-(3-甲基-1,2-恶唑-5-基)-...