基本信息
| 产品名称 |
三-甘氨酰-缩宫素 |
| 英文名 |
Tri-Gly-Oxytocin |
| 别名 |
(2S)-1-[(4R,7S,10S,16S,19R)-19-[[2-[[2-[(2-Aminoacetyl)Amino]Acetyl]Amino]Acetyl]Amino]-7-(2-Amino-2-Oxo-Ethyl)-10-(3-Amino-3-Oxo-Propyl)-16-[(4-Hydroxyphenyl)Methyl]-6,9,12,15,18-Pentaoxo-13-Sec-Butyl-1,2-Dithia-5,8,11,14,17-Pentazacycloicosane-4-Carbonyl]-N-[(1S)-1-[(2-Amino-2-Oxo-Ethyl)Carbamoyl]-3-Methyl-Butyl]Pyrrolidine-2-Carboxamide; (2S)-1-[[(4R,7S,10S,16S,19R)-7-(2-Amino-2-Oxoethyl)-19-[[2-[[2-[(2-Amino-1-Oxoethyl)Amino]-1-Oxoethyl]Amino]-1-Oxoethyl]Amino]-10-(3-Amino-3-Oxopropyl)-16-[(4-Hydroxyphenyl)Methyl]-6,9,12,15,18-Pentaoxo-13-Sec-Butyl-1,2-Dithia-5,8,11,14,17-Pentazacycloicos-4-Yl]-Oxomethyl]-N-[(1S)-1-[[(2-Amino-2-Oxoethyl)Amino]-Oxomethyl]-3-Methylbutyl]-2-Pyrrolidinecarboxamide; (2S)-1-[(4R,7S,10S,16S,19R)-7-(2-Amino-2-Keto-Ethyl)-10-(3-Amino-3-Keto-Propyl)-19-[[2-[[2-(Glycylamino)Acetyl]Amino]Acetyl]Amino]-16-(4-Hydroxybenzyl)-6,9,12,15,18-Pentaketo-13-Sec-Butyl-1,2-Dithia-5,8,11,14,17-Pentazacycloicosane-4-Carbonyl]-N-[(1S)-1-[(2-Amino-2-Keto-Ethyl)Carbamoyl]-3-Methyl-Butyl]Pyrrolidine-2-Carboxamide |
|
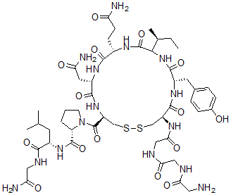
| 分子结构 |
 |
| 分子式 |
C49H75N15O15S2 |
| 分子量 |
1178.34 |
| CAS 登录号 |
16639-11-5 |
| 分子行输入简码 SMILES |
[C@@H]3(N(C(=O)[C@H]1NC(=O)[C@@H](NC(=O)[C@@H](NC(=O)C(NC(=O)[C@@H](NC(=O)[C@@H](NC(=O)CNC(=O)CNC(=O)CN)CSSC1)CC2=CC=C(O)C=C2)[C@H](CC)C)CCC(=O)N)CC(=O)N)CCC3)C(=O)N[C@H](C(=O)NCC(=O)N)CC(C)C |
| 国际化学标识码 InChI |
1S/C49H75N15O15S2/c1-5-25(4)41-48(78)58-28(12-13-35(51)66)43(73)60-31(17-36(52)67)44(74)62-33(49(79)64-14-6-7-34(64)47(77)61-29(15-24(2)3)42(72)56-19-37(53)68)23-81-80-22-32(57-40(71)21-55-39(70)20-54-38(69)18-50)46(76)59-30(45(75)63-41)16-26-8-10-27(65)11-9-26/h8-11,24-25,28-34,41,65H,5-7,12-23,50H2,1-4H3,(H2,51,66)(H2,52,67)(H2,53,68)(H,54,69)(H,55,70)(H,56,72)(H,57,71)(H,58,78)(H,59,76)(H,60,73)(H,61,77)(H,62,74)(H,63,75)/t25-,28-,29-,30-,31-,32-,33-,34-,41?/m0/s1 |
| 国际化学标识检索码 InChIKey |
GSQPHYUVUWFHDE-XIJIAEDBSA-N |
|