Online Database of Chemicals from Around the World

25-去乙酰氧基-25-羟基利福霉素
[CAS# 17555-51-0]

供应商
CAS#: 17555-51-0
产品: 25-去乙酰氧基-25-羟基利福霉素
暂时没有厂家供应该产品。
基本信息
产品名称 25-去乙酰氧基-25-羟基利福霉素
英文名 25-Deacetoxy-25-Hydroxyrifamycin
别名 25-Deacetoxy-25-Hydroxyrifamycin S; 25-Dehr; Rifamycin, 25-O-Deacetyl-1,4-Dideoxy-1,4-Dihydro-1,4-Dioxo-
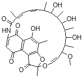
分子结构 CAS 登录号:17555-51-0, 25-去乙酰氧基-25-羟基利福霉素
分子式 C35H43NO11
分子量 653.72
CAS 登录号 17555-51-0
分子行输入简码 SMILES CC2C(O)C(C(O)C(C)\C=C\C=C(C(=O)NC4=CC(=O)C1=C(C(=C(C3=C1C(=O)C(O/C=C/C(OC)C(C2O)C)(O3)C)C)O)C4=O)\C)C
国际化学标识码 InChI 1S/C35H43NO11/c1-15-10-9-11-16(2)34(44)36-21-14-22(37)24-25(31(21)42)30(41)20(6)32-26(24)33(43)35(7,47-32)46-13-12-23(45-8)17(3)28(39)19(5)29(40)18(4)27(15)38/h9-15,17-19,23,27-29,38-41H,1-8H3,(H,36,44)/b10-9+,13-12+,16-11-
国际化学标识检索码 InChIKey PSMLZCCJKKGSFH-AUPUHSLKSA-N
市场分析报告
请浏览25-去乙酰氧基-25-羟基利福霉素市场分析报告总目录
相关产品
3-磺基-2-萘甲酸镁盐-二(六氯环戊二烯)加合物  螺[3.4]辛烷  三甲基-[4-(三甲基硅烷基甲基)苄基]硅烷  [[4-[二(三甲基硅烷基)甲基]苯基]-三甲基硅...  合欢皂苷J1  2-(乙酰氨基)-5-(氨基磺酰基)-4-氯苯甲酸  alpha,beta-二羟基异戊酸  丁基二乙基碘锡烷  安托西  8-[(E)-2-(3,4-二甲氧基苯基)乙烯基]...  胆绿素原  [(E)-2-氯-1-(2,5-二氯苯基)乙烯氧基...  9,10-二氢苯并(a)芘  9-羟基苯并(a)芘  7,8-二氢苯并(a)芘