Online Database of Chemicals from Around the World

{[(1S,2S)-2-乙氧基-1-甲氧基环丙基]乙炔基}(三甲基)硅烷
[CAS# 178751-90-1]

供应商
深圳爱拓化学有限公司 中国 询价快递  
+86 13417589054//+86 13424336463
info@atomaxchem.com,atomax.chemicals@gmail.com,
QQ 交流
化学品生产商
基本信息
产品名称 {[(1S,2S)-2-乙氧基-1-甲氧基环丙基]乙炔基}(三甲基)硅烷
英文名 {[(1S,2S)-2-Ethoxy-1-Methoxycyclopropyl]Ethynyl}(Trimethyl)Silane
别名 (((1S,2S)-2-ethoxy-1-methoxycyclopropyl)ethynyl)trimethylsilane
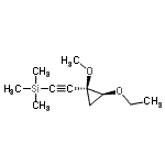
分子结构 CAS 登录号:178751-90-1, {[(1S,2S)-2-乙氧基-1-甲氧基环丙基]乙炔基}(三甲基)硅烷
分子式 C11H20O2Si
分子量 212.36
CAS 登录号 178751-90-1
分子行输入简码 SMILES CCO[C@H]1C[C@@]1(C#C[Si](C)(C)C)OC
国际化学标识码 InChI 1S/C11H20O2Si/c1-6-13-10-9-11(10,12-2)7-8-14(3,4)5/h10H,6,9H2,1-5H3/t10-,11+/m0/s1
国际化学标识检索码 InChIKey DFTPFAHZDJULNW-WDEREUQCSA-N
物理化学性质
密度 0.947g/cm3 (计算值)
沸点 219.51°C at 760 mmHg (计算值)
闪点 69.021°C (计算值)
折射率 1.458 (计算值)
市场分析报告
请浏览{[(1S,2S)-2-乙氧基-1-甲氧基环丙基]乙炔基}(三甲基)硅烷市场分析报告总目录
相关产品
(1S,2S)-2-乙氧基-1-乙炔基环丙基甲烷磺...  (1S,2R)-2-乙氧基-1-乙炔基-1-甲氧基...  (1S,2S)-2-乙氧基-1-乙烯基环丙基甲烷磺...  2-乙氧基-5,5-二甲基-2,5-二氢-1,3,...  2-(3-丁烯-1-基)-L-脯氨酸  3-甲基四氢-1H-吡咯并[2,1-c][1,4]...  2,3-二氧代丁基乙酸酯  三异丙基硅烷醇  (3,5-二溴苯基)(三甲基)硅烷  (3-溴苯基)(三甲基)硅烷  4-(1,3-苯并噻唑-2-基)-2-溴苯胺  2-(4-氨基苯基)-1,3-苯并噻唑-6-醇  5-乙炔基-2-吡啶羧酸  2,3-二氯-6-喹喔啉甲酰氯  1,1'-[(氰基硫代甲酰)亚氨基]二丙烷