| 深圳爱拓化学有限公司 | 中国 | 询价快递 | ||
|---|---|---|---|---|
![]() |
+86 13417589054//+86 13424336463 | |||
![]() |
info@atomaxchem.com,atomax.chemicals@gmail.com, | |||
![]() |
QQ 交流 | |||
| 化学品生产商 | ||||
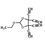
| 产品名称 | 2-乙氧基-4,4,5,5-四乙炔基-1,3-二氧戊环 |
|---|---|
| 英文名 | 2-Ethoxy-4,4,5,5-Tetraethynyl-1,3-Dioxolane |
| 别名 | 2-ethoxy-4,4,5,5-tetraethynyl-1,3-dioxolane |
| 分子结构 | ![]() |
| 分子式 | C13H10O3 |
| 分子量 | 214.22 |
| CAS 登录号 | 180722-58-1 |
| 分子行输入简码 SMILES | CCOC1OC(C(O1)(C#C)C#C)(C#C)C#C |
| 国际化学标识码 InChI | 1S/C13H10O3/c1-6-12(7-2)13(8-3,9-4)16-11(15-12)14-10-5/h1-4,11H,10H2,5H3 |
| 国际化学标识检索码 InChIKey | OXHNAPFKKNWRCU-UHFFFAOYSA-N |
| 密度 | 1.162g/cm3 (计算值) |
|---|---|
| 沸点 | 246.211°C at 760 mmHg (计算值) |
| 闪点 | 80.519°C (计算值) |
| 折射率 | 1.527 (计算值) |
| 市场分析报告 |
| 请浏览2-乙氧基-4,4,5,5-四乙炔基-1,3-二氧戊环市场分析报告总目录 |