| ChemPacific Corp | USA | Inquire | ||
|---|---|---|---|---|
![]() |
+1 (410) 633-5771 | |||
![]() |
sales@chempacific.com | |||
| Chemical manufacturer since 1995 | ||||
| ZereneX Molecular Ltd. | UK | Inquire | ||
|---|---|---|---|---|
![]() |
+44 (1204) 527-700 | |||
![]() |
sales@zerenex-molecular.com | |||
| Chemical manufacturer | ||||
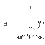
| Name | 5-(Ammoniomethyl)-6-Methyl-2-Pyridinaminium Dichloride |
|---|---|
| Molecular Structure | ![]() |
| Molecular Formula | C7H13Cl2N3 |
| Molecular Weight | 210.10 |
| CAS Registry Number | 183853-59-0 |
| SMILES | [Cl-].[Cl-].n1c(c(ccc1[NH3+])C[NH3+])C |
| InChI | 1S/C7H11N3.2ClH/c1-5-6(4-8)2-3-7(9)10-5;;/h2-3H,4,8H2,1H3,(H2,9,10);2*1H |
| InChIKey | RSBHEBHLTBJQTO-UHFFFAOYSA-N |
| Boiling point | 291.2°C at 760 mmHg (Cal.) |
|---|---|
| Flash point | 154.9°C (Cal.) |
| Refractive index | (Cal.) |
| Market Analysis Reports |
| List of Reports Available for 5-(Ammoniomethyl)-6-Methyl-2-Pyridinaminium Dichloride |