Online Database of Chemicals from Around the World

L-Arginyl-L-Arginyl-L-Alanyl-L-Alanyl-L-alpha-Glutamyl-L-alpha-Glutamyl-L-Leucyl-L-alpha-Aspartyl-L-Seryl-L-Arginyl-L-Alanylglycyl-O-Phosphono-L-Seryl-L-Prolyl-L-Glutaminyl-L-Leucine
[CAS# 186901-17-7]

Suppliers
BOC Sciences USA Inquire  
+1 (631) 485-4226
info@bocsci.com
Skype Chat
Chemical distributor
chemBlink massive supplier since 2012
Beijing Seajet Scientific Inc. China Inquire  
+86 (10) 8859-8795
info@seajetsci.com
Chemical distributor since 2006
Biotrend Chemicals AG Switzerland Inquire  
+41 (44) 805-7676
order@biotrend.ch
Chemical manufacturer
International Laboratory Limited USA Inquire  
+1 (650) 278-9963
admin@intlab.org
Chemical manufacturer since 2002
Tocris Bioscience Inc. USA Inquire  
+1 (636) 207-7651
marketing@tocrisusa.com
Chemical manufacturer since 1982
VDM Biochemicals USA Inquire  
+1 (330) 252-8181/
sales@vdmbio.com,info@vdmbio.com
Chemical manufacturer
Identification
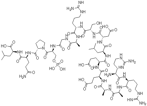
Name L-Arginyl-L-Arginyl-L-Alanyl-L-Alanyl-L-alpha-Glutamyl-L-alpha-Glutamyl-L-Leucyl-L-alpha-Aspartyl-L-Seryl-L-Arginyl-L-Alanylglycyl-O-Phosphono-L-Seryl-L-Prolyl-L-Glutaminyl-L-Leucine
Synonyms M.W. 1835.88 C71H123N26O29P; 2B-(SP)
Molecular Structure CAS#: 186901-17-7, L-Arginyl-L-Arginyl-L-Alanyl-L-Alanyl-L-alpha-Glutamyl-L-alpha-Glutamyl-L-Leucyl-L-alpha-Aspartyl-L-Seryl-L-Arginyl-L-Alanylglycyl-O-Phosphono-L-Seryl-L-Prolyl-L-Glutaminyl-L-Leucine
Molecular Formula C71H123N26O29P
Molecular Weight 1835.87
CAS Registry Number 186901-17-7
SMILES OC[C@@H](C(=O)N[C@H](C(=O)N[C@H](C(=O)NCC(=O)N[C@H](C(=O)N1CCC[C@H]1C(=O)N[C@H](C(=O)N[C@H](C(=O)O)CC(C)C)CCC(=O)N)COP(=O)(O)O)C)CCCNC(=N)N)NC(=O)[C@@H](NC(=O)[C@@H](NC(=O)[C@@H](NC(=O)[C@@H](NC(=O)[C
InChI 1S/C71H123N26O29P/c1-32(2)26-43(93-61(114)42(18-21-52(103)104)91-60(113)41(17-20-51(101)102)88-56(109)36(7)84-55(108)35(6)86-58(111)38(13-9-23-81-70(76)77)89-57(110)37(72)12-8-22-80-69(74)75)63(
Market Analysis Reports
List of Reports Available for L-Arginyl-L-Arginyl-L-Alanyl-L-Alanyl-L-alpha-Glutamyl-L-alpha-Glutamyl-L-Leucyl-L-alpha-Aspartyl-L-Seryl-L-Arginyl-L-Alanylglycyl-O-Phosphono-L-Seryl-L-Prolyl-L-Glutaminyl-L-Leucine
Related Products
2-Chloro-5-(Trifluoromethyl)Phenyl Hydra...  2-[(Ethoxymethyl)(2-ethyl-6-methylphenyl...  Ethyl2-(Piperidin-1-Yl)-4-(Trifluorometh...  3-[(1-Methylethyl)Thio]-1,2,4-Triazin-5-...  (4R)-2-Phenyl-1,3-Dioxolane-4-Ethanol  5-Methyl-3-Phenyl-4-Isoxazolemethanol  Spiro[Cyclopenta[7,8]Phenanthro[2,3-c]Py...  1-Acetyl-2,5-Dihydro-4-Hydroxy-1H-Pyrrol...  N-[(5Z,8Z,11Z,14Z)-1-Oxo-5,8,11,14-Eicos...  5-Amino-4-Oxo-Pentanoic-2,2-D2 Acid Hydr...  O-(1,1-Dimethylethyl)-N-[(Phenylmethoxy)...  2-Hydroxy-1,2,3-Propanetricarboxylic Aci...  4-[[Bis[[(1,1-Dimethylethoxy)Carbonyl]Am...  N-[(1R,2S)-2-Hydroxy-1-Methyl-2-Phenylet...  Interleukin-12