Online Database of Chemicals from Around the World

3a-氨基-3a-脱氧-(2aS,3aS)-gamma-环糊精水合物
[CAS# 189307-64-0]

供应商
International Laboratory Limited 美国 询价快递  
+1 (650) 278-9963
admin@intlab.org
化学品生产商(2002 年起)
基本信息
产品分类 化学试剂 >> 有机试剂 >> 环糊精
产品名称 3a-氨基-3a-脱氧-(2aS,3aS)-gamma-环糊精水合物
英文名 3a-Amino-3a-Deoxy-(2aS,3aS)-gamma-Cyclodextrin Hydrate
别名 3A-Amino-3A-deoxy-(2AS,3AS)-γ-cyclodextrin Hydrate
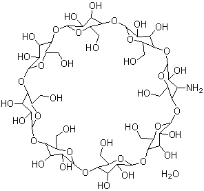
分子结构 CAS 登录号:189307-64-0, 3a-氨基-3a-脱氧-(2aS,3aS)-gamma-环糊精水合物
分子式 C48H81NO39
分子量 1296.14
CAS 登录号 189307-64-0
分子行输入简码 SMILES O[C@@H]9[C@@H](O)[C@@H]1O[C@H](CO)[C@H]9O[C@H]8O[C@H](CO)[C@@H](O[C@H]7O[C@H](CO)[C@@H](O[C@H]6O[C@H](CO)[C@@H](O[C@H]5O[C@H](CO)[C@@H](O[C@H]4O[C@H](CO)[C@@H](O[C@H]3O[C@H](CO)[C@@H](O[C@H]2O[C@H](CO)[C@@H](O1)[C@H](O)[C@H]2O)[C@@H](N)[C@@H]3O)[C@H](O)[C@H]4O)[C@H](O)[C@H]5O)[C@H](O)[C@H]6O)[C@H](O)[C@H]7O)[C@H](O)[C@H]8O
国际化学标识码 InChI 1S/C48H81NO39/c49-17-18(58)41-73-9(1-50)33(17)81-42-26(66)19(59)35(11(3-52)74-42)83-44-28(68)21(61)37(13(5-54)76-44)85-46-30(70)23(63)39(15(7-56)78-46)87-48-32(72)25(65)40(16(8-57)80-48)88-47-31(71)24(64)38(14(6-55)79-47)86-45-29(69)22(62)36(12(4-53)77-45)84-43-27(67)20(60)34(82-41)10(2-51)75-43/h9-48,50-72H,1-8,49H2/t9-,10-,11-,12-,13-,14-,15-,16-,17+,18+,19-,20-,21-,22-,23-,24-,25-,26-,27-,28-,29-,30-,31-,32-,33-,34-,35-,36-,37-,38-,39-,40-,41-,42-,43-,44-,45-,46-,47-,48-/m1/s1
国际化学标识检索码 InChIKey UCNMOVNZUVXILW-OJHPOGNJSA-N
物理化学性质
密度 1.602g/cm3 (计算值)
折射率 1.587 (计算值)
安全数据
SDS 化学品安全技术说明书参考文本
市场分析报告
请浏览3a-氨基-3a-脱氧-(2aS,3aS)-gamma-环糊精水合物市场分析报告总目录
相关产品
1-(4-溴苯基)-4,4,4-三氟-1,3-丁烷...  (E)-1-(2,6-二氟苯基)-N-羟基甲亚胺  2-甲基-2-丙基3-异氰酸-1-哌啶羧酸酯  3H-螺[2-苯并呋喃-1,3'-哌啶]-3-酮  2-{2-[氯(二甲基)硅烷基]乙基}吡啶  4-甲氧基-2-噻吩甲酰胺  3-乙基-2-噻吩甲酰胺  5-(二氟甲基)-3-糠酰胺  2-乙基-3-糠酰胺  4-甲基-3-噻吩甲酰胺  甲基3-乙基噻吩-2-羧酸酯  9-苄基-3,9-二氮杂螺[5.5]十一烷-2,4...  3-苄基-3,9-二氮杂螺[5.5]十一烷  2-甲基-2-丙基3,9-二氮杂螺[5.5]十一烷...  1,4,12-三氧杂-10-氮杂二螺[4.2.4<...