基本信息
| 产品名称 |
N-乙酰基-L-缬氨酰-L-alpha-天冬氨酰-L-缬氨酰-L-丙氨酰-N-(4-硝基苯基)-L-alpha-天冬氨酰胺 |
| 英文名 |
N-Acetyl-L-Valyl-L-alpha-Aspartyl-L-Valyl-L-Alanyl-N-(4-Nitrophenyl)-L-alpha-Asparagine |
| 别名 |
CASPASE 2 (ICH-1) SUBSTRATE 1, CHROMOGENIC; AC-VAL-ASP-GLN-GLN-ASP-PARANITROANILIDE; AC-VAL-ASP-VAL-ALA-ASP-PARANITROANILIDE |
|
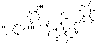
| 分子结构 |
 |
| 分子式 |
C29H41N7O12 |
| 分子量 |
679.68 |
| CAS 登录号 |
189684-53-5 |
| 分子行输入简码 SMILES |
OC(=O)C[C@@H](C(=O)Nc1ccc(cc1)[N+](=O)[O-])NC(=O)[C@@H](NC(=O)[C@H](C(C)C)NC(=O)[C@@H](NC(=O)[C@H](C(C)C)NC(=O)C)CC(=O)O)C |
| 国际化学标识码 InChI |
1S/C29H41N7O12/c1-13(2)23(31-16(6)37)29(46)34-20(12-22(40)41)27(44)35-24(14(3)4)28(45)30-15(5)25(42)33-19(11-21(38)39)26(43)32-17-7-9-18(10-8-17)36(47)48/h7-10,13-15,19-20,23-24H,11-12H2,1-6H3,( |
|