Online Database of Chemicals from Around the World

Hastacine
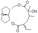
[CAS# 20361-77-7]

Suppliers
CAS#: 20361-77-7
Product: Hastacine
No suppilers available for the product.
Identification
Name Hastacine
Molecular Structure CAS#: 20361-77-7, Hastacine
Molecular Formula C18H27NO5
Molecular Weight 337.42
CAS Registry Number 20361-77-7
SMILES [C@@H]12N3CC[C@H]1OC(=O)C(/CC(C(O)(C(OC[C@H]2CC3)=O)C)C)=C/C
InChI 1S/C18H27NO5/c1-4-12-9-11(2)18(3,22)17(21)23-10-13-5-7-19-8-6-14(15(13)19)24-16(12)20/h4,11,13-15,22H,5-10H2,1-3H3/b12-4+/t11?,13-,14-,15+,18?/m1/s1
InChIKey BTHCJHQOYFUIMG-ZEDKSUSISA-N
Market Analysis Reports
List of Reports Available for Hastacine
Related Products
3-Chloro-2-Iodobenzotrifluoride  Potassium stannate  Methoxymethyl 2-Methylprop-2-Enoate  2,3,4,5-Tetradeuteriothiophene  2-[2,4-Bis(2-Methylbutan-2-Yl)Phenoxy]-N...  6-Bromo-2-Phenyl-1H-Quinolin-4-One  4,5-Epiminophenanthrene  N-(2-Nitro-4-Propoxyphenyl)Acetamide  Dicyclohexyloxy Carbonate  3-Methoxytoluene-alpha,alpha,alpha-D3  N,N-Dimethyldithiocarbamic Acid Tributyl...  Protochlorophyllide  Diethylaminomethyl Acetate  3-[[4-[(2-Bromo-4-Nitrophenyl)Azo]Phenyl...  2,6-Dichloro-N-Cyclopropyl-N-Ethylisonic...