| Atomax Chemicals Co., Ltd. | China | Inquire | ||
|---|---|---|---|---|
![]() |
+86 13417589054//+86 13424336463 | |||
![]() |
info@atomaxchem.com,atomax.chemicals@gmail.com, | |||
![]() |
QQ Chat | |||
| Chemical manufacturer | ||||
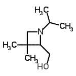
| Name | (1-Isopropyl-3,3-Dimethyl-2-Azetidinyl)Methanol |
|---|---|
| Synonyms | (1-isopropyl-3,3-dimethylazetidin-2-yl)methanol |
| Molecular Structure | ![]() |
| Molecular Formula | C9H19NO |
| Molecular Weight | 157.25 |
| CAS Registry Number | 204848-27-1 |
| SMILES | CC(C)N1CC(C1CO)(C)C |
| InChI | 1S/C9H19NO/c1-7(2)10-6-9(3,4)8(10)5-11/h7-8,11H,5-6H2,1-4H3 |
| InChIKey | ACUHFHWLFXUUOQ-UHFFFAOYSA-N |
| Density | 0.919g/cm3 (Cal.) |
|---|---|
| Boiling point | 198.989°C at 760 mmHg (Cal.) |
| Flash point | 59.64°C (Cal.) |
| Refractive index | 1.459 (Cal.) |
| Market Analysis Reports |
| List of Reports Available for (1-Isopropyl-3,3-Dimethyl-2-Azetidinyl)Methanol |