Online Database of Chemicals from Around the World

甲基(7-氧代-1-庚烯-5-炔-4-基)氨基甲酸酯
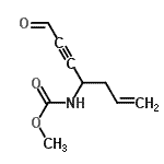
[CAS# 217442-28-9]

供应商
深圳爱拓化学有限公司 中国 询价快递  
+86 13417589054//+86 13424336463
info@atomaxchem.com,atomax.chemicals@gmail.com,
QQ 交流
化学品生产商
基本信息
产品名称 甲基(7-氧代-1-庚烯-5-炔-4-基)氨基甲酸酯
英文名 Methyl (7-Oxo-1-Hepten-5-Yn-4-Yl)Carbamate
别名 methyl (7-oxohept-1-en-5-yn-4-yl)carbamate
分子结构 CAS 登录号:217442-28-9, 甲基(7-氧代-1-庚烯-5-炔-4-基)氨基甲酸酯
分子式 C9H11NO3
分子量 181.19
CAS 登录号 217442-28-9
分子行输入简码 SMILES COC(=O)NC(CC=C)C#CC=O
国际化学标识码 InChI 1S/C9H11NO3/c1-3-5-8(6-4-7-11)10-9(12)13-2/h3,7-8H,1,5H2,2H3,(H,10,12)
国际化学标识检索码 InChIKey MDRLEBVGQGVCEL-UHFFFAOYSA-N
物理化学性质
密度 1.095g/cm3 (计算值)
沸点 319.272°C at 760 mmHg (计算值)
闪点 146.891°C (计算值)
折射率 1.48 (计算值)
市场分析报告
请浏览甲基(7-氧代-1-庚烯-5-炔-4-基)氨基甲酸酯市场分析报告总目录
相关产品
甲基(7-氧代-1,5-庚二炔-4-基)氨基甲酸酯  甲基(3R,4R)-4-羟基-2,3,4,5-四氢...  2,3-二氯-4-乙氧基苯酚  6-乙氧基-3-联苯醇  2-(氯甲基)-2-甲基-3-苯基-2,3-二氢-...  2-(氯甲基)-2-甲基-3-(4-甲基苯基)-2...  2-(氯甲基)-3-(4-氯苯基)-2-甲基-2,...  1-甲基环辛烷甲醛  1-(二甲基氨基)-1,3-二氢-2H-苯并咪唑-...  甲基3-碘-5-(2-甲基-2-丙基)苯甲酸酯  N<sup>2</sup>-[4-(5,7-二氟-...  (2S)-2-氨基丙基N<sup>2</sup>-...  3-(2,3-二氢-1-苯并呋喃-5-基)-1-丙...  2-(4-吗啉基)-1-苯基-1-(2-吡啶基)乙...  3-(4-异丙基苯基)-1,1-二[(<sup>2...