Online Database of Chemicals from Around the World

蔗糖-6-磷酸酯
[CAS# 22372-29-8]

供应商
CAS#: 22372-29-8
产品: 蔗糖-6-磷酸酯
暂时没有厂家供应该产品。
基本信息
产品名称 蔗糖-6-磷酸酯
英文名 Sucrose-6-Phosphate
别名 [(2R,3S,4S,5R,6R)-6-[(2S,3S,4S,5R)-3,4-Dihydroxy-2,5-Bis(Hydroxymethyl)Tetrahydrofuran-2-Yl]Oxy-3,4,5-Trihydroxy-Tetrahydropyran-2-Yl]Methyl Dihydrogen Phosphate; [(2R,3S,4S,5R,6R)-6-[[(2S,3S,4S,5R)-3,4-Dihydroxy-2,5-Bis(Hydroxymethyl)-2-Tetrahydrofuranyl]Oxy]-3,4,5-Trihydroxy-2-Tetrahydropyranyl]Methyl Dihydrogen Phosphate; [(2R,3S,4S,5R,6R)-6-[(2S,3S,4S,5R)-3,4-Dihydroxy-2,5-Dimethylol-Tetrahydrofuran-2-Yl]Oxy-3,4,5-Trihydroxy-Tetrahydropyran-2-Yl]Methyl Dihydrogen Phosphate
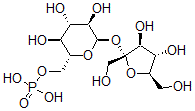
分子结构 CAS 登录号:22372-29-8, 蔗糖-6-磷酸酯
分子式 C12H23O14P
分子量 422.28
CAS 登录号 22372-29-8
分子行输入简码 SMILES [C@]2(O[C@H]1O[C@H](CO[P](O)(O)=O)[C@@H](O)[C@H](O)[C@H]1O)(O[C@H](CO)[C@@H](O)[C@@H]2O)CO
国际化学标识码 InChI 1S/C12H23O14P/c13-1-4-7(16)10(19)12(3-14,25-4)26-11-9(18)8(17)6(15)5(24-11)2-23-27(20,21)22/h4-11,13-19H,1-3H2,(H2,20,21,22)/t4-,5-,6-,7-,8+,9-,10+,11-,12+/m1/s1
国际化学标识检索码 InChIKey WQQSIXKPRAUZJL-UGDNZRGBSA-N
物理化学性质
密度 1.905g/cm3 (计算值)
沸点 810.665°C at 760 mmHg (计算值)
闪点 444.074°C (计算值)
市场分析报告
请浏览蔗糖-6-磷酸酯市场分析报告总目录
相关产品
16-羟基贝壳杉-19-酸  16-羟基贝壳杉-19-酸甲酯  1-甲基-4-(4-硝基-苯磺酰基)-哌嗪  二(三甲基锗烷基)氧化物  alpha-(乙氧基甲基)苄醇  1-环己基-5,5-二乙基巴比妥酸  6-甲基-2-硒基尿嘧啶  8-甲基-1H-嘌呤-6-胺  [3-羟基-3-(4-甲氧基苯基)-5-甲基己-5...  胍乙啶 N-氧化物  6-[(1E,3E)-1,3-二甲基-4-(4-硝...  3-(二甲基氨基)-6-甲基哒嗪-4-醇  2-(3-氯-6-甲基-哒嗪-4-基)氧基乙酸  4-硝基苯基-1,3-恶噻戊环  (E)-1-溴-1,2-二苯基-2-(4-乙基苯基...