Online Database of Chemicals from Around the World

5-(二甲基硅烷基)-3-羟基-4-[(2-甲基-2-丙基)氧基]-8-氧杂-6-硫杂双环[3.2.1]辛-2-基乙酸酯
[CAS# 228115-77-3]

供应商
CAS#: 228115-77-3
产品: 5-(二甲基硅烷基)-3-羟基-4-[(2-甲基-2-丙基)氧基]-8-氧杂-6-硫杂双环[3.2.1]辛-2-基乙酸酯
暂时没有厂家供应该产品。
基本信息
产品名称 5-(二甲基硅烷基)-3-羟基-4-[(2-甲基-2-丙基)氧基]-8-氧杂-6-硫杂双环[3.2.1]辛-2-基乙酸酯
英文名 5-(Dimethylsilyl)-3-Hydroxy-4-[(2-Methyl-2-Propanyl)Oxy]-8-Oxa-6-Thiabicyclo[3.2.1]Oct-2-Yl Acetate
别名 5-(Dimethylsilyl)-3-hydroxy-4-[(2-methyl-2-propanyl)oxy]-8-oxa-6-thiabicyclo[3.2.1]oct-2-yl acetate (non-preferred name); 5-(Dimethylsilyl)-3-hydroxy-4-[(2-methyl-2-propanyl)oxy]-8-oxa-6-thiabicyclo[3.2.1]oct-2-yl-acetat (non-preferred name)
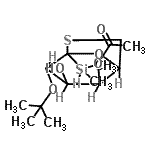
分子结构 CAS 登录号:228115-77-3, 5-(二甲基硅烷基)-3-羟基-4-[(2-甲基-2-丙基)氧基]-8-氧杂-6-硫杂双环[3.2.1]辛-2-基乙酸酯
分子式 C14H26O5SSi
分子量 334.50
CAS 登录号 228115-77-3
分子行输入简码 SMILES CC(=O)OC1C2CSC(O2)(C(C1O)OC(C)(C)C)[SiH](C)C
国际化学标识码 InChI 1S/C14H26O5SSi/c1-8(15)17-11-9-7-20-14(18-9,21(5)6)12(10(11)16)19-13(2,3)4/h9-12,16,21H,7H2,1-6H3
国际化学标识检索码 InChIKey AKBDUTDQJQGKGD-UHFFFAOYSA-N
物理化学性质
沸点 404.0±45.0°C at 760 mmHg (计算值)
闪点 198.1±28.7°C (计算值)
折射率 (计算值)
市场分析报告
请浏览5-(二甲基硅烷基)-3-羟基-4-[(2-甲基-2-丙基)氧基]-8-氧杂-6-硫杂双环[3.2.1]辛-2-基乙酸酯市场分析报告总目录
相关产品
4-氯苯基氢(2-氨基苯基)氨基磷酸酯  2-[3,5-二(三氟甲基)苯基]-6,7,8-三...  8-(4-甲氧基苯基)-8-氧代辛酸  1,3-二氟-5-(甲氧基甲基)苯  3-羟基-2-苯基-4H-苯并[h]苯并吡喃-4-...  3-氯-N-异丙基丙酰胺  2-甲基-5-(4-硝基苯基)-1,3,4-恶二唑  钠(4-甲酰基-5-羟基-6-甲基-3-吡啶基)甲...  (异丙基硫基)乙酸  2,4-二(4-氟苯基)-3,5-二苯基-2,4-...  5-乙基-1H-1,2,4-三唑-3-胺  2H,2'H-3,3'-联-1,2,4-三唑-5,...  4-亚甲基双环[3.2.1]辛-2-烯  2-(乙烯基硫基)-1H-苯并咪唑  甲基3-(甲基磺酰基)苯甲酸酯