Online Database of Chemicals from Around the World

3-[[[2-(4-Methyl-1-Piperazinyl)Ethoxy]Imino]Methyl]Rifamycin
[CAS# 22912-78-3]

Suppliers
CAS#: 22912-78-3
Product: 3-[[[2-(4-Methyl-1-Piperazinyl)Ethoxy]Imino]Methyl]Rifamycin
No suppilers available for the product.
Identification
Name 3-[[[2-(4-Methyl-1-Piperazinyl)Ethoxy]Imino]Methyl]Rifamycin
Synonyms 3-Formylrifamycin Sv O-(2-(4-Methylpiperazinyl)Ethyl)Oxime; Brn 5418867
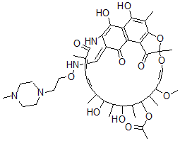
Molecular Structure CAS#: 22912-78-3, 3-[[[2-(4-Methyl-1-Piperazinyl)Ethoxy]Imino]Methyl]Rifamycin
Molecular Formula C45H62N4O13
Molecular Weight 867.00
CAS Registry Number 22912-78-3
SMILES C(N1CCN(CC1)C)CON/C=C3/C(=O)C2=C4C(=C(C5=C2C(=O)C(O/C=C/C(OC)C(C(OC(=O)C)C(C(O)C(C(O)C(C)\C=C\C=C(C(=O)NC3=C4O)\C)C)C)C)(O5)C)C)O
InChI 1S/C45H62N4O13/c1-23-12-11-13-24(2)44(57)47-35-30(22-46-60-21-19-49-17-15-48(9)16-18-49)39(54)32-33(40(35)55)38(53)28(6)42-34(32)43(56)45(8,62-42)59-20-14-31(58-10)25(3)41(61-29(7)50)27(5)37(52)26(4)36(23)51/h11-14,20,22-23,25-27,31,36-37,41,46,51-53,55H,15-19,21H2,1-10H3,(H,47,57)/b12-11+,20-14+,24-13-,30-22+
InChIKey CRVLFAWRTSKXQI-CNQIUANTSA-N
Market Analysis Reports
List of Reports Available for 3-[[[2-(4-Methyl-1-Piperazinyl)Ethoxy]Imino]Methyl]Rifamycin
Related Products
3-[[[2-(1-Piperidinyl)Ethoxy]Imino]Methy...  Tert-Butyl Nonaneperoxoate  Isopropyl 3-Nitro-p-Toluate  N,N,N-Trimethyl-2-oxo-2-(phenylamino)-Et...  N-Cyano-N'-(Methoxymethyl)Guanidine  Dimolybdenum Trizinc Nonaoxide  (9-Methyl-9-Azabicyclo[3.3.1]Nonan-7-Yl)...  2-(Trichloromethyl)-Thiazolidine hydroch...  1,1'-(1,3-Propanediyl)Dithymine  Fmoc-L-4-Phosphonomethylphenylalanine  1,2-Dihydrophthalic Acid  2',4'-Dihydroxypropiophenone Oxime  3-Bromo-8-Methyl-8-Azabicyclo[3.2.1]Octa...  5-Ethyl-4-(4-Hydroxyphenyl)-6-Methyl-3-C...  3-Chloro-8-Methyl-8-Azabicyclo[3.2.1]Oct...