Online Database of Chemicals from Around the World

Ferricrocin
[CAS# 23086-46-6]

Suppliers
CAS#: 23086-46-6
Product: Ferricrocin
No suppilers available for the product.
Identification
Name Ferricrocin
Synonyms Ferric N-[3-[5,17-Bis[3-(Acetyl-Oxido-Amino)Propyl]-11-(Hydroxymethyl)-3,6,9,12,15,18-Hexaoxo-1,4,7,10,13,16-Hexazacyclooctadec-2-Yl]Propyl]-N-Oxido-Acetamide; Ferric N-[3-[5,17-Bis[3-(Acetyl-Oxidoamino)Propyl]-11-(Hydroxymethyl)-3,6,9,12,15,18-Hexaoxo-1,4,7,10,13,16-Hexazacyclooctadec-2-Yl]Propyl]-N-Oxidoacetamide; Ferric N-[3-[5,17-Bis[3-(Acetyl-Oxido-Amino)Propyl]-3,6,9,12,15,18-Hexaketo-11-Methylol-1,4,7,10,13,16-Hexazacyclooctadec-2-Yl]Propyl]-N-Oxido-Acetamide
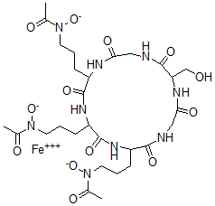
Molecular Structure CAS#: 23086-46-6, Ferricrocin
Molecular Formula C28H44FeN9O13
Molecular Weight 770.56
CAS Registry Number 23086-46-6
SMILES C(C1NC(=O)C(NC(=O)CNC(=O)C(NC(=O)CNC(=O)C(NC1=O)CCCN([O-])C(=O)C)CO)CCCN([O-])C(=O)C)CCN([O-])C(=O)C.[Fe+3]
InChI 1S/C28H44N9O13.Fe/c1-16(39)35(48)10-4-7-19-25(44)29-14-24(43)32-22(15-38)26(45)30-13-23(42)31-20(8-5-11-36(49)17(2)40)27(46)34-21(28(47)33-19)9-6-12-37(50)18(3)41;/h19-22,38H,4-15H2,1-3H3,(H,29,44)(H,30,45)(H,31,42)(H,32,43)(H,33,47)(H,34,46);/q-3;+3
InChIKey FNBCUYMSQPYITB-UHFFFAOYSA-N
Market Analysis Reports
List of Reports Available for Ferricrocin
Related Products
Acetic Acid, Ammonium Copper Salt  3,7,15,19-Tetrathiatricyclo[19.3.1.19,13...  Methyl 3-(4-Acetyloxy-3-Methoxyphenyl)Pr...  Dehydroretrorsine  Dehydrolasiocarpine  Cholesta-3,5-dien-3-ol acetate  Bunitrolol Hydrochloride  N-[4-(4-Aminophenylsulfonylamino)Phenyl]...  (3b,20S)-20-(Dimethylamino)-Pregn-5-en-3...  (S)-Oxybutynin Hydrochloride  Girinimbine  5,5-Dimethyl-3-Heptyne  1-Pyrrolidineacetaldehyde diethyl acetal  3-Methylbenzanilide  2,2'-[(6-Anilino-1,3,5-Triazine-2,4-Diyl...