Online Database of Chemicals from Around the World

1-[1-(3-甲基丁氧基)乙氧基]己烷
[CAS# 233665-90-2]

供应商
CAS#: 233665-90-2
产品: 1-[1-(3-甲基丁氧基)乙氧基]己烷
暂时没有厂家供应该产品。
基本信息
产品名称 1-[1-(3-甲基丁氧基)乙氧基]己烷
英文名 1-[1-(3-Methylbutoxy)Ethoxy]Hexane
别名 ACETALDEHYDE HEXYL 3-METHYLBUTYL ACETAL; ACETALDEHYDE HEXYL ISOAMYL ACETAL
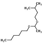
分子结构 CAS 登录号:233665-90-2, 1-[1-(3-甲基丁氧基)乙氧基]己烷
分子式 C13H28O2
分子量 216.36
CAS 登录号 233665-90-2
分子行输入简码 SMILES CCCCCCOC(C)OCCC(C)C
国际化学标识码 InChI 1S/C13H28O2/c1-5-6-7-8-10-14-13(4)15-11-9-12(2)3/h12-13H,5-11H2,1-4H3
国际化学标识检索码 InChIKey PUXHYFFHRDAFHP-UHFFFAOYSA-N
物理化学性质
密度 0.843g/cm3 (计算值)
沸点 237.454°C at 760 mmHg (计算值)
闪点 59.881°C (计算值)
折射率 1.426 (计算值)
市场分析报告
请浏览1-[1-(3-甲基丁氧基)乙氧基]己烷市场分析报告总目录
相关产品
1-(4-甲基-1,3-噻唑-2-基)乙酮  乙基3-(甲硫基)丁酸酯  O-乙基己烷硫代酸酯  (3E)-3-己烯-1-基2-乙基丁酸酯  1,3-二羟基-2-甲基-9H-氧杂蒽-9-酮  2-羟基-5-[(E)-2-丙烯-1-亚基氨基]苯...  羟基[(4-甲氧基四氢-2H-吡喃-4-基)氧基]...  1-乙氧基-2,3,4,5,6-戊氟环己烷  2-乙氧基-6,7-二甲基-4H-3,1-苯并恶嗪...  2-甲基-2-丙基{(2S)-6-乙酰氨基-1-[...  镁二氧代(二氧代)铬水合物(1:1:1)  4-甲基-6-(1-甲基肼基)嘧啶  1-异丙基-1H-吡咯-2-甲醛  1-(2-甲基-2-丙基)-1H-吡咯-2-甲醛  苯并[E][1,3]苯并噻唑