Online Database of Chemicals from Around the World

(2R,3R)-2,3-Dihydroxysuccinic Acid - 4-[(1R)-1-Hydroxy-2-(Methylamino)Ethyl]-1,2-Benzenediol (1:1)
[CAS# 24351-82-4]

Suppliers
AEchem Scientific Corporation USA Inquire  
+1 (630) 364-5106
info@aechemsc.com
Chemical manufacturer
Abblis Chemicals LLC USA Inquire  
+1 (832) 373-8299
info@abblis.com
Chemical manufacturer
Achemo Scientific Limited Hong Kong Inquire  
+852 3174-6428
sales@achemo.com
Chemical manufacturer since 2010
Atomole Scientific Co., Ltd. China Inquire  
+86 (27) 8262-4262
sales@atomole.com
Chemical manufacturer since 2008
LGC Standards UK Inquire  
+44 (20) 8943-8480
uksales@lgcstandards.com
Chemical manufacturer since 2007
RIA International LLC USA Inquire  
+1 (973) 581-1282/
marketing@riausa.net,nj@riausa.net
Chemical distributor
Santa Cruz Biotechnology, Inc. USA Inquire  
+1 (831) 457-3800
scbt@scbt.com
Chemical manufacturer
Sigma-Aldrich, Inc. USA Inquire  
+86 (21) 6141-5566 / 800-819-3336
ordercn@sial.com,
Chemical manufacturer since 1992
TimTec USA Inquire  
+1 (302) 292-8500
info@timtec.com
Chemical manufacturer
Zylexa Pharma Ltd. UK Inquire  
+44 (845) 299-6009/
sales@zylexa-pharma.com,enquiries@zylexa-pharma.com
Chemical manufacturer
Identification
Name (2R,3R)-2,3-Dihydroxysuccinic Acid - 4-[(1R)-1-Hydroxy-2-(Methylamino)Ethyl]-1,2-Benzenediol (1:1)
Synonyms (-)-3,4-Dihydroxy-α-((methylamino)methyl)benzyl alcohol (+)-tartrate (1:1) salt; (-)-Adrenaline acid tartrate; (-)-ADRENALINE BITARTRATE
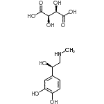
Molecular Structure CAS#: 24351-82-4, (2R,3R)-2,3-Dihydroxysuccinic Acid - 4-[(1R)-1-Hydroxy-2-(Methylamino)Ethyl]-1,2-Benzenediol (1:1)
Molecular Formula C13H19NO9
Molecular Weight 333.29
CAS Registry Number 24351-82-4
SMILES CNC[C@@H](C1=CC(=C(C=C1)O)O)O.[C@@H]([C@H](C(=O)O)O)(C(=O)O)O
InChI 1S/C9H13NO3.C4H6O6/c1-10-5-9(13)6-2-3-7(11)8(12)4-6;5-1(3(7)8)2(6)4(9)10/h2-4,9-13H,5H2,1H3;1-2,5-6H,(H,7,8)(H,9,10)/t9-;1-,2-/m01/s1
InChIKey YLXIPWWIOISBDD-NDAAPVSOSA-N
Properties
Refractive index (Cal.)
Safety Data
SDS Available
Market Analysis Reports
List of Reports Available for (2R,3R)-2,3-Dihydroxysuccinic Acid - 4-[(1R)-1-Hydroxy-2-(Methylamino)Ethyl]-1,2-Benzenediol (1:1)
Related Products
2-Isopropyl-2,4-Dimethylpentanoic Acid  2-Ethyl-2,5-Dimethylhexanoic Acid  (3-Endo)-3-[(3-Hydroxy-2-Phenylpropanoyl...  N-Hydroxy-4-Vinylbenzamide  Barium Di(2-Propanolate)  (2,3-Dimethoxyphenyl)(4-Pyridinyl)Methan...  5-[(1-Oxido-2-Pyridinyl)Amino]-1-Pentano...  2-[(2-Chloroethyl)Sulfonyl]-5-(Trifluoro...  2-Chloro-N-(2,3,4-Trifluorophenyl)Acetam...  6-(2-Fluorophenoxy)-3-Pyridinamine  N-(2-Aminoethyl)-L-Valine  N-(2-Aminoethyl)-D-Valine  N-(2-Aminoethyl)-L-Valine  Cholest-5-En-3-Yl Heptadecanoate  N-Propionyl-L-leucyl-N-[(2S)-5-carbamimi...