Online Database of Chemicals from Around the World

2-[(Trimethylsilyl)Oxy]-1,3-Propanediyl Bis(2-Methylacrylate)
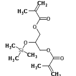
[CAS# 247244-66-2]

Suppliers
Alfa Chemistry USA Inquire  
+1 (201) 478-8534
inquiry@alfa-chemistry.com
Chemical distributor since 2012
chemBlink standard supplier since 2012
BOC Sciences USA Inquire  
+1 (631) 485-4226
info@bocsci.com
Skype Chat
Chemical distributor
chemBlink massive supplier since 2012
Gelest, Inc. USA Inquire  
+1 (215) 547-1015
info@gelest.com
Chemical manufacturer
International Laboratory Limited USA Inquire  
+1 (650) 278-9963
admin@intlab.org
Chemical manufacturer since 2002
Identification
Name 2-[(Trimethylsilyl)Oxy]-1,3-Propanediyl Bis(2-Methylacrylate)
Synonyms 1,3-Bis(methacryloxy)-2-trimethylsiloxypropaneinhibited with MEHQ; 2-[(Trimethylsilyl)oxy]propan-1,3-diylbis(2-methylacrylat); 2-[(trimethylsilyl)oxy]propane-1,3-diyl bis(2-methylacrylate)
Molecular Structure CAS#: 247244-66-2, 2-[(Trimethylsilyl)Oxy]-1,3-Propanediyl Bis(2-Methylacrylate)
Molecular Formula C14H24O5Si
Molecular Weight 300.42
CAS Registry Number 247244-66-2
SMILES C[Si](C)(C)OC(COC(=O)C(C)=C)COC(=O)C(C)=C
InChI 1S/C14H24O5Si/c1-10(2)13(15)17-8-12(19-20(5,6)7)9-18-14(16)11(3)4/h12H,1,3,8-9H2,2,4-7H3
InChIKey OSCFXCTVDHAMJL-UHFFFAOYSA-N
Properties
Density 1.005g/cm3 (Cal.)
Boiling point 341.88°C at 760 mmHg (Cal.)
Flash point 133.45°C (Cal.)
Refractive index 1.448 (Cal.)
Market Analysis Reports
List of Reports Available for 2-[(Trimethylsilyl)Oxy]-1,3-Propanediyl Bis(2-Methylacrylate)
Related Products
4-Methyl-6-Oxotetrahydro-2H-Pyran-2-Carb...  5-Methyl-6-Oxotetrahydro-2H-Pyran-2-Carb...  4aH-[1]Benzofuro[3,2-b]pyrrole  2-Isopropyl-2-Methyl-4,5-Dihydro-1,3-Dio...  3-(3,3-Dimethyltriazanylidene)-3H-Pyrazo...  4-(Hydroxymethyl)-4-Methyl-2-Cyclohexen-...  1,6-Hexanediamine Dihydrobromide  4H-Indeno[2,1-d][1,2]Oxazole  Ethyl 2-(Bromomethyl)Nicotinate Hydrobro...  3-Amino-4-(1H-Indol-3-Yl)Butanoic Acid  Furo[3,2-b][1]Benzofuran  Benzoate, Titanium Salt (4:1)  1-Allyl-3-Methoxybenzene  trans-4-Aminocyclohexanol  2-(Dimethylamino)-2-Propanol