Online Database of Chemicals from Around the World

Desmethylphalloin
[CAS# 25030-32-4]

Suppliers
CAS#: 25030-32-4
Product: Desmethylphalloin
No suppilers available for the product.
Identification
Name Desmethylphalloin
Synonyms 7-(4-Hydroxy-L-Norvaline)Phalloidin; Demethylphalloin; Desmethylphalloin
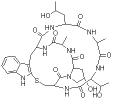
Molecular Structure CAS#: 25030-32-4, Desmethylphalloin
Molecular Formula C34H46N8O10S
Molecular Weight 758.85
CAS Registry Number 25030-32-4
SMILES C1=CC=CC5=C1C4=C(SCC2NC(=O)C(NC(=O)C(NC(=O)C(NC(=O)C(NC(=O)C(NC(=O)C3N(C2=O)CC(O)C3)C)C4)CC(O)C)C)C(O)C)[NH]5
InChI 1S/C34H46N8O10S/c1-14(43)9-22-29(48)35-16(3)28(47)41-26(17(4)44)32(51)39-24-13-53-33-20(19-7-5-6-8-21(19)40-33)11-23(30(49)38-22)37-27(46)15(2)36-31(50)25-10-18(45)12-42(25)34(24)52/h5-8,14-18,22-26,40,43-45H,9-13H2,1-4H3,(H,35,48)(H,36,50)(H,37,46)(H,38,49)(H,39,51)(H,41,47)
InChIKey QFBWBPWXLYXNHF-UHFFFAOYSA-N
Properties
Density 1.493g/cm3 (Cal.)
Boiling point 1326.978°C at 760 mmHg (Cal.)
Flash point 756.329°C (Cal.)
Market Analysis Reports
List of Reports Available for Desmethylphalloin
Related Products
Destruxin B  N,N-Dibutylbenzamide  3alpha,4,7,7alpha-Tetrahydro-4,7-Methano...  Poly(Styrene-Co-Methyl Methacrylate)  Poly(p-Phenylene Terephthalamide)  2-Methyl-2-Propenoic Acid Methyl Ester P...  2-Methyl-2-Propenoic Acid Polymer With E...  Methacrylic acid, butyl acrylate polymer  2-Methyl-2-Propenoic Acid Polymer With B...  2-Methyl-2-Propenoic Acid Polymer With B...  (2Z)-2-Butenedioic Acid, Dibutyl Ester, ...  2-Propenoic Acid, Methyl Ester, Polymer ...  Formaldehyde, urea, melamine polymer  Ethylene Glycol Sebacate  2-Propenoic Acid, Butyl Ester, Polymer W...