|
CAS#: 2519-28-0 产品: 水溶性还原蓝 6 暂时没有厂家供应该产品。 |
| 产品名称 | 水溶性还原蓝 6 |
|---|---|
| 英文名 | Solubilised Vat Blue 6 |
| 别名 | 5,9,14,18-Anthrazinetetrol, 7,16-Dichloro-6,15-Dihydro-, Tetrakis(Hydrogen Sulfate) (Ester), Tetrasodium Salt |
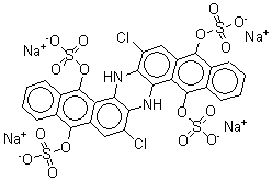
| 分子结构 | ![]() |
| 分子式 | C28H12Cl2N2Na4O16S4 |
| 分子量 | 923.51 |
| CAS 登录号 | 2519-28-0 |
| EINECS 登录号 | 219-744-4 |
| 分子行输入简码 SMILES | C5=C(Cl)C1=C(NC3=C(N1)C2=C(O[S]([O-])(=O)=O)C4=C(C(=C2C=C3Cl)O[S]([O-])(=O)=O)C=CC=C4)C6=C5C(=C7C(=C6O[S]([O-])(=O)=O)C=CC=C7)O[S]([O-])(=O)=O.[Na+].[Na+].[Na+].[Na+] |
| 国际化学标识码 InChI | 1S/C28H16Cl2N2O16S4.4Na/c29-17-9-15-19(27(47-51(39,40)41)13-7-3-1-5-11(13)25(15)45-49(33,34)35)23-21(17)32-24-20-16(10-18(30)22(24)31-23)26(46-50(36,37)38)12-6-2-4-8-14(12)28(20)48-52(42,43)44;;;;/h1-10,31-32H,(H,33,34,35)(H,36,37,38)(H,39,40,41)(H,42,43,44);;;;/q;4*+1/p-4 |
| 国际化学标识检索码 InChIKey | BBUUHUCPYAPBCE-UHFFFAOYSA-J |
| 市场分析报告 |
| 请浏览水溶性还原蓝 6市场分析报告总目录 |