Online Database of Chemicals from Around the World

(2S)-N-[(1S)-1-[[(1S)-2-[[(1S)-1-[[(1S)-2-[[(1S)-2-[[(1S)-1-氨基甲酰-4-胍基-丁基]氨基]-1-甲基-2-氧代-乙基]氨基]-1-[(2,4-二硝基苯胺基)甲基]-2-氧代-乙基]氨基甲酰]丙基]氨基]-1-甲基-2-氧代-乙基]氨基甲酰]-3-甲基-丁基]-1-[2-(7-甲氧基-2-氧代-苯并吡喃-4-基)乙酰基]吡咯烷-2-甲酰胺
[CAS# 256394-92-0]

基本信息
产品名称 (2S)-N-[(1S)-1-[[(1S)-2-[[(1S)-1-[[(1S)-2-[[(1S)-2-[[(1S)-1-氨基甲酰-4-胍基-丁基]氨基]-1-甲基-2-氧代-乙基]氨基]-1-[(2,4-二硝基苯胺基)甲基]-2-氧代-乙基]氨基甲酰]丙基]氨基]-1-甲基-2-氧代-乙基]氨基甲酰]-3-甲基-丁基]-1-[2-(7-甲氧基-2-氧代-苯并吡喃-4-基)乙酰基]吡咯烷-2-甲酰胺
英文名 (2S)-N-[(1S)-1-[[(1S)-2-[[(1S)-1-[[(1S)-2-[[(1S)-2-[[(1S)-1-Carbamoyl-4-Guanidino-Butyl]Amino]-1-Methyl-2-Oxo-Ethyl]Amino]-1-[(2,4-Dinitroanilino)Methyl]-2-Oxo-Ethyl]Carbamoyl]Propyl]Amino]-1-Methyl-2-Oxo-Ethyl]Carbamoyl]-3-Methyl-Butyl]-1-[2-(7-Methoxy-2-Oxo-Chromen-4-Yl)Acetyl]Pyrrolidine-2-Carboxamide
别名 Mca-Pro-Leu-Ala-Nva-Dap(Dnp)-Ala-Arg-NH2
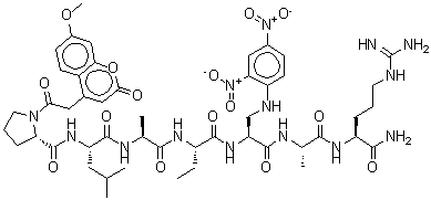
分子结构 CAS 登录号:256394-92-0, (2S)-N-[(1S)-1-[[(1S)-2-[[(1S)-1-[[(1S)-2-[[(1S)-2-[[(1S)-1-氨基甲酰-4-胍基-丁基]氨基]-1-甲基-2-氧代-乙基]氨基]-1-[(2,4-二硝基苯胺基)甲基]-2-氧代-乙基]氨基甲酰]丙基]氨基]-1-甲基-2-氧代-乙基]氨基甲酰]-3-甲基-丁基]-1-[2-(7-甲氧基-2-氧代-苯并吡喃-4-基)乙酰基]吡咯烷-2-甲酰胺
分子式 C48H66N14O15
分子量 1079.12
CAS 登录号 256394-92-0
分子行输入简码 SMILES CC[C@@H](C(=O)N[C@@H](CNc1ccc(cc1[N+](=O)[O-])[N+](=O)[O-])C(=O)N[C@@H](C)C(=O)N[C@@H](CCCNC(=N)N)C(=O)N)NC(=O)[C@H](C)NC(=O)[C@H](CC(C)C)NC(=O)[C@@H]2CCCN2C(=O)Cc3cc(=O)oc4c3ccc(c4)OC
国际化学标识码 InChI 1S/C48H66N14O15/c1-7-31(44(68)59-35(23-53-32-15-12-28(61(72)73)21-37(32)62(74)75)46(70)55-26(5)43(67)57-33(41(49)65)10-8-16-52-48(50)51)56-42(66)25(4)54-45(69)34(18-24(2)3)58-47(71)36-11-9-17-60(36)39(63)19-27-20-40(64)77-38-22-29(76-6)13-14-30(27)38/h12-15,20-22,24-26,31,33-36,53H,7-11,16-19,23H2,1-6H3,(H2,49,65)(H,54,69)(H,55,70)(H,56,66)(H,57,67)(H,58,71)(H,59,68)(H4,50,51,52)/t25-,26-,31-,33-,34-,35-,36-/m0/s1
国际化学标识检索码 InChIKey DYDYFAWKKWLFGJ-JSWDBWGRSA-N
蛋白质序列 Mca-Pro-Leu-Ala-Nva-Dap(Dnp)-Ala-Arg-NH2
物理化学性质
密度 1.499g/cm3 (计算值)
折射率 1.668 (计算值)
市场分析报告
请浏览(2S)-N-[(1S)-1-[[(1S)-2-[[(1S)-1-[[(1S)-2-[[(1S)-2-[[(1S)-1-氨基甲酰-4-胍基-丁基]氨基]-1-甲基-2-氧代-乙基]氨基]-1-[(2,4-二硝基苯胺基)甲基]-2-氧代-乙基]氨基甲酰]丙基]氨基]-1-甲基-2-氧代-乙基]氨基甲酰]-3-甲基-丁基]-1-[2-(7-甲氧基-2-氧代-苯并吡喃-4-基)乙酰基]吡咯烷-2-甲酰胺市场分析报告总目录
相关产品
(1R,2R,3S,4S,5R,6S)-3-乙酰基...  (1R,2R,3S,4S,5R,6R)-3-乙酰基...  2-氯-N-(4-碘苯基)乙酰胺  2-氯-N-(3-碘苯基)乙酰胺  N-(3-溴苯基)-2-氯乙酰胺  2-甲基-2-丙基1-(2-甲氧基-2-氧代乙基)...  1,2-二(三氯甲基)苯  咪唑并[1,2-d][1,2,4]三嗪-5(6H)...  2,4,5-三氟-N-甲基-苯胺  1-甲基-1,2-环丙烷二甲酸二酰肼水合物(1:1...  2-(1H-吡唑-3-基)-1,3-苯并噻唑  5-[4-苯基-5-(三氟甲基)-2-噻吩基]-3...  2,2'-磺酰基二苯酚  1,1,1,7-四氯庚烷  2-甲基-5-[[(2S)-环氧乙烷-2-基]甲氧...