Online Database of Chemicals from Around the World

1-[2-[2-(1-羟基丙氧基)丙氧基]-1-甲基-乙氧基]丙-1-醇
[CAS# 25657-08-3]

供应商
International Laboratory Limited 美国 询价快递  
+1 (650) 278-9963
admin@intlab.org
化学品生产商(2002 年起)
基本信息
产品名称 1-[2-[2-(1-羟基丙氧基)丙氧基]-1-甲基-乙氧基]丙-1-醇
英文名 1-[2-[2-(1-Hydroxypropoxy)Propoxy]-1-Methyl-Ethoxy]Propan-1-Ol
别名 Propanol, [oxybis[(methyl-2,1-ethanediyl)oxy]]bis-
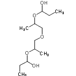
分子结构 CAS 登录号:25657-08-3, 1-[2-[2-(1-羟基丙氧基)丙氧基]-1-甲基-乙氧基]丙-1-醇
分子式 C12H26O5
分子量 250.33
CAS 登录号 25657-08-3
分子行输入简码 SMILES CCC(O)OC(C)COCC(C)OC(CC)O
国际化学标识码 InChI 1S/C12H26O5/c1-5-11(13)16-9(3)7-15-8-10(4)17-12(14)6-2/h9-14H,5-8H2,1-4H3
国际化学标识检索码 InChIKey HRPYGYLEWZDCAO-UHFFFAOYSA-N
物理化学性质
密度 1.033g/cm3 (计算值)
沸点 269.146°C at 760 mmHg (计算值)
闪点 116.575°C (计算值)
折射率 1.455 (计算值)
市场分析报告
请浏览1-[2-[2-(1-羟基丙氧基)丙氧基]-1-甲基-乙氧基]丙-1-醇市场分析报告总目录
相关产品
(9Z,12Z)-9,12-十八碳二烯酸-过氧化氢...  1,1-二氯-2-乙炔基-2-甲基环丙烷  1-(2-吡啶基)-1H-苯并咪唑  1-(3-吡啶基)-1H-苯并咪唑  1,1-二溴-2-乙炔基-2-甲基环丙烷  2-(1H-吡唑-1-基)苯甲酰胺  (1R)-2-溴双环[2.2.1]庚烷  甲基2-环己烯-1-羧酸酯  甲基2-甲基-1-环己烯-1-羧酸酯  2-{[(2-甲基-2-丙基)氧基]羰基}肼羧酸  4-甲基-1,3-噻唑-5-基乙酸酯  2-(氯甲基)-3,5-二甲基-4-(2,2,2-...  5-[3,5-二(三氟甲基)苯基]-2-糠醛  3-乙氧基-5-(三氟甲基)-2-吡啶甲腈  亚砷酸