| Atomax Chemicals Co., Ltd. | China | Inquire | ||
|---|---|---|---|---|
![]() |
+86 13417589054//+86 13424336463 | |||
![]() |
info@atomaxchem.com,atomax.chemicals@gmail.com, | |||
![]() |
QQ Chat | |||
| Chemical manufacturer | ||||
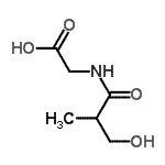
| Name | N-(3-Hydroxy-2-Methylpropanoyl)Glycine |
|---|---|
| Synonyms | 2-(3-hydroxy-2-methylpropanamido)acetic acid |
| Molecular Structure | ![]() |
| Molecular Formula | C6H11NO4 |
| Molecular Weight | 161.16 |
| CAS Registry Number | 256928-69-5 |
| SMILES | O=C(NCC(O)=O)C(C)CO |
| InChI | 1S/C6H11NO4/c1-4(3-8)6(11)7-2-5(9)10/h4,8H,2-3H2,1H3,(H,7,11)(H,9,10) |
| InChIKey | QJCFYDHPKKEQMT-UHFFFAOYSA-N |
| Density | 1.279g/cm3 (Cal.) |
|---|---|
| Boiling point | 461.743°C at 760 mmHg (Cal.) |
| Flash point | 233.054°C (Cal.) |
| Refractive index | 1.491 (Cal.) |
| Market Analysis Reports |
| List of Reports Available for N-(3-Hydroxy-2-Methylpropanoyl)Glycine |