| International Laboratory Limited | 美国 | 询价快递 | ||
|---|---|---|---|---|
![]() |
+1 (650) 278-9963 | |||
![]() |
admin@intlab.org | |||
| 化学品生产商(2002 年起) | ||||
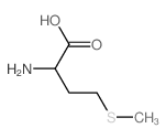
| 产品名称 | 聚-L-蛋氨酸 |
|---|---|
| 英文名 | Poly-L-Methionine |
| 别名 | (2S)-2-Amino-4-Methylsulfanyl-Butanoic Acid; (2S)-2-Amino-4-(Methylthio)Butanoic Acid; (2S)-2-Amino-4-(Methylthio)Butyric Acid |
| 分子结构 | ![]() |
| 分子式 | C5H11NO2S |
| 分子量 | 149.21 |
| CAS 登录号 | 26062-47-5 (58576-49-1) |
| 分子行输入简码 SMILES | [C@@H](C(O)=O)(CCSC)N |
| 国际化学标识码 InChI | 1S/C5H11NO2S/c1-9-3-2-4(6)5(7)8/h4H,2-3,6H2,1H3,(H,7,8)/t4-/m0/s1 |
| 国际化学标识检索码 InChIKey | FFEARJCKVFRZRR-BYPYZUCNSA-N |
| 密度 | 1.34 (实验值) |
|---|---|
| 1.2±0.1g/cm3 (计算值) | |
| 熔点 | 280°C (实验值) |
| 沸点 | 306.9±37.0°C at 760 mmHg (计算值) |
| 闪点 | 139.4±26.5°C (计算值) |
| 溶解度 | 1 M HCl: 0.5 M at 20 °C, clear, colorless |
| 安全说明 | WARNING: 否t sold for human treatment, trials or use |
|---|---|
| WARNING: 否t for human consumption, may irriate skin & eyes. | |
| Minimize exposure. | |
| 市场分析报告 |
| 请浏览聚-L-蛋氨酸市场分析报告总目录 |