Online Database of Chemicals from Around the World

利福霉素 L
[CAS# 26117-02-2]

供应商
CAS#: 26117-02-2
产品: 利福霉素 L
暂时没有厂家供应该产品。
基本信息
产品名称 利福霉素 L
英文名 Rifamycin L
别名 Rifamycin, 4-(Hydroxyacetate)
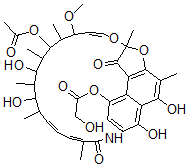
分子结构 CAS 登录号:26117-02-2, 利福霉素 L
分子式 C39H49NO14
分子量 755.81
CAS 登录号 26117-02-2
分子行输入简码 SMILES C(O)C(OC1=C2C4=C3OC(O/C=C/C(OC)C(C(OC(=O)C)C(C(O)C(C(O)C(C)\C=C\C=C(C(=O)NC(=C1)C(=C2C(=C3C)O)O)\C)C)C)C)(C4=O)C)=O
国际化学标识码 InChI 1S/C39H49NO14/c1-17-11-10-12-18(2)38(49)40-24-15-26(53-27(43)16-41)28-29(34(24)47)33(46)22(6)36-30(28)37(48)39(8,54-36)51-14-13-25(50-9)19(3)35(52-23(7)42)21(5)32(45)20(4)31(17)44/h10-15,17,19-21,25,31-32,35,41,44-47H,16H2,1-9H3,(H,40,49)/b11-10+,14-13+,18-12-
国际化学标识检索码 InChIKey OCUBKDJIPNISSD-NISGPDFNSA-N
市场分析报告
请浏览利福霉素 L市场分析报告总目录
相关产品
3-甲基-2-脲基-戊酸  N-乙酰基-D-半胱氨酸  [2-(4-苄基哌嗪-1-基)苯基]甲醇  酸性红 82  3,3-二甲基-2-己酮  1,10-二乙酰氧基癸烷  N-甲基氨基磺酸乙酯  4-甲基-6-庚烯-3-酮  1,4-二甲基环己-1,3-二烯  1,3-二氯丙烷-2-基 N-(3-氯苯基)氨基甲...  2alpha-D-别异亮氨酸-放线菌素 D  N-[3-[(二(2-羟基乙基)氨基)甲基]-2,...  2-(二氯甲基)-1,3-二氧戊环  丙酸乙烯基酯与 1-乙烯基-2-吡咯烷酮聚合物  2-丙烯酰胺与 1-乙烯基-2-吡咯烷酮聚合物