Online Database of Chemicals from Around the World

葚孢霉酯 I
[CAS# 2900-38-1]

供应商
CAS#: 2900-38-1
产品: 葚孢霉酯 I
暂时没有厂家供应该产品。
基本信息
产品名称 葚孢霉酯 I
英文名 Sporidesmolide I
别名 3,12-Diisobutyl-6,9,15-Triisopropyl-4,19-Dimethyl-1,10-Dioxa-4,7,13,16-Tetrazacycloicosane-2,5,8,11,14,17-Hexone; 3,12-Diisobutyl-6,9,15-Triisopropyl-4,19-Dimethyl-1,10-Dioxa-4,7,13,16-Tetrazacycloicosane-2,5,8,11,14,17-Triquinone; Nci60_000519
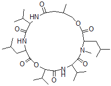
分子结构 CAS 登录号:2900-38-1, 葚孢霉酯 I
分子式 C33H58N4O8
分子量 638.84
CAS 登录号 2900-38-1
分子行输入简码 SMILES C(C1N(C(=O)C(NC(=O)C(OC(=O)C(NC(=O)C(NC(=O)CC(COC1=O)C)C(C)C)CC(C)C)C(C)C)C(C)C)C)C(C)C
国际化学标识码 InChI 1S/C33H58N4O8/c1-17(2)13-23-32(42)45-28(21(9)10)30(40)36-27(20(7)8)31(41)37(12)24(14-18(3)4)33(43)44-16-22(11)15-25(38)35-26(19(5)6)29(39)34-23/h17-24,26-28H,13-16H2,1-12H3,(H,34,39)(H,35,38)(H,36,40)
国际化学标识检索码 InChIKey CWCLCJUWNJYVCD-UHFFFAOYSA-N
物理化学性质
密度 1.009g/cm3 (计算值)
沸点 894.363°C at 760 mmHg (计算值)
闪点 494.693°C (计算值)
安全数据
SDS 化学品安全技术说明书参考文本
市场分析报告
请浏览葚孢霉酯 I市场分析报告总目录
相关产品
6-甲氧基-2-己酮  4-甲氧基丁酸  4-丁氧基丁酸甲酯  7-硝基-8-喹啉基苯甲酸酯  7-硝基-8-喹啉基间甲苯甲酸酯  7-硝基-8-喹啉基邻甲苯甲酸酯  7-硝基-8-喹啉基 4-氯苯甲酸酯  7-硝基-8-喹啉基 3-氯苯甲酸酯  7-硝基-8-喹啉基 4-溴苯甲酸酯  7-硝基-8-喹啉基 3-溴苯甲酸酯  7-硝基-8-喹啉醇 2-碘苯甲酸酯  7-硝基-8-喹啉基 3,4-二氯苯甲酸酯  7-硝基-8-喹啉基 4-氯-2-硝基苯甲酸酯  4-硝基苯甲酸 7-硝基-8-喹啉基酯  2-硝基苯甲酸 7-硝基-8-喹啉基酯