Online Database of Chemicals from Around the World

(2R,3R,4S,5R)-2-(3-Carbamoylpyridin-1-Ium-1-Yl)-5-[[(2R,3S,4R)-3,4-Dihydroxy-1-(Hydroxy-Phosphonooxyphosphoryl)Oxy-5-Oxopentan-2-Yl]Oxymethyl]-4-Hydroxyoxolan-3-Olate
[CAS# 30419-23-9]

Suppliers
CAS#: 30419-23-9
Product: (2R,3R,4S,5R)-2-(3-Carbamoylpyridin-1-Ium-1-Yl)-5-[[(2R,3S,4R)-3,4-Dihydroxy-1-(Hydroxy-Phosphonooxyphosphoryl)Oxy-5-Oxopentan-2-Yl]Oxymethyl]-4-Hydroxyoxolan-3-Olate
No suppilers available for the product.
Identification
Name (2R,3R,4S,5R)-2-(3-Carbamoylpyridin-1-Ium-1-Yl)-5-[[(2R,3S,4R)-3,4-Dihydroxy-1-(Hydroxy-Phosphonooxyphosphoryl)Oxy-5-Oxopentan-2-Yl]Oxymethyl]-4-Hydroxyoxolan-3-Olate
Synonyms (2R,3R,4S,5R)-2-(3-Carbamoylpyridin-1-Ium-1-Yl)-5-[[(1R,2S,3R)-2,3-Dihydroxy-1-[(Hydroxy-Phosphonooxy-Phosphoryl)Oxymethyl]-4-Oxo-Butoxy]Methyl]-4-Hydroxy-Tetrahydrofuran-3-Olate; (2R,3R,4S,5R)-2-(3-Carbamoyl-1-Pyridin-1-Iumyl)-5-[[(1R,2S,3R)-2,3-Dihydroxy-1-[(Hydroxy-Phosphonooxyphosphoryl)Oxymethyl]-4-Oxobutoxy]Methyl]-4-Hydroxy-3-Tetrahydrofuranolate; (2R,3R,4S,5R)-2-(3-Carbamoylpyridin-1-Ium-1-Yl)-5-[[(1R,2S,3R)-2,3-Dihydroxy-1-[(Hydroxy-Phosphonooxy-Phosphoryl)Oxymethyl]-4-Keto-Butoxy]Methyl]-4-Hydroxy-Tetrahydrofuran-3-Olate
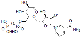
Molecular Structure CAS#: 30419-23-9, (2R,3R,4S,5R)-2-(3-Carbamoylpyridin-1-Ium-1-Yl)-5-[[(2R,3S,4R)-3,4-Dihydroxy-1-(Hydroxy-Phosphonooxyphosphoryl)Oxy-5-Oxopentan-2-Yl]Oxymethyl]-4-Hydroxyoxolan-3-Olate
Molecular Formula C16H24N2O15P2
Molecular Weight 546.32
CAS Registry Number 30419-23-9
SMILES [C@H]1(O[C@@H]([C@@H](O)[C@H]1[O-])CO[C@@H]([C@@H](O)[C@@H](O)C=O)CO[P](O[P](=O)(O)O)(=O)O)[N+]2=CC(=CC=C2)C(=O)N
InChI 1S/C16H24N2O15P2/c17-15(24)8-2-1-3-18(4-8)16-14(23)13(22)11(32-16)6-30-10(12(21)9(20)5-19)7-31-35(28,29)33-34(25,26)27/h1-5,9-14,16,20-22H,6-7H2,(H2,17,24)(H,28,29)(H2,25,26,27)/t9-,10+,11+,12-,13+,14+,16+/m0/s1
InChIKey NCVOOBHSYZVJAI-HQKBCVNISA-N
Market Analysis Reports
List of Reports Available for (2R,3R,4S,5R)-2-(3-Carbamoylpyridin-1-Ium-1-Yl)-5-[[(2R,3S,4R)-3,4-Dihydroxy-1-(Hydroxy-Phosphonooxyphosphoryl)Oxy-5-Oxopentan-2-Yl]Oxymethyl]-4-Hydroxyoxolan-3-Olate
Related Products
(2R)-2-[(2R)-Oxiran-2-Yl]Oxirane  2-(2-Methylpropyl)Isoindole-1,3-Dione  2-Methyl-5-Phenyl-1H-Pyrrole  1-Cyclohexylnaphthalene  2-Dimethylaminoethyl 2-Chloro-2,2-Di(Phe...  (1-Ethylpyrrolidin-1-Ium-3-Yl) 2-Methoxy...  (1-Ethylpyrrolidin-1-Ium-3-Yl)Methyl 2-M...  2-(1-Methylpyrrolidin-1-Ium-2-Yl)Ethyl 2...  5-Hydroxy-3-[2-Hydroxy-4-(3-Methylbut-2-...  5-Hydroxy-3-(2-Hydroxy-4-Methoxyphenyl)-...  9-(Hydroxymethyl)-6,6-Dimethyl-3-Pentylb...  2-Butanone, 4-phenyl-,2-(2,4-dinitrophen...  3-Chloro-4-(3-Methyl-2,5-Dioxo-3-Phenylp...  4-(2,5-Dioxo-3-Phenylpyrrolidin-1-Yl)-3-...  7-Methyl-2-Methylsulfanyl-5-Oxo-1H-[1,2,...