Online Database of Chemicals from Around the World

5-[2-[3-[[(2R)-4-[[[(2R,3S,4R,5R)-5-(6-Aminopurin-9-Yl)-4-Hydroxy-3-Phosphonooxyoxolan-2-Yl]Methoxy-Hydroxyphosphoryl]Oxy-Hydroxyphosphoryl]Oxy-2-Hydroxy-3,3-Dimethylbutanoyl]Amino]Propanoylamino]Ethylsulfanyl]-5-Oxopentanoic Acid
[CAS# 3131-84-8]

Suppliers
CAS#: 3131-84-8
Product: 5-[2-[3-[[(2R)-4-[[[(2R,3S,4R,5R)-5-(6-Aminopurin-9-Yl)-4-Hydroxy-3-Phosphonooxyoxolan-2-Yl]Methoxy-Hydroxyphosphoryl]Oxy-Hydroxyphosphoryl]Oxy-2-Hydroxy-3,3-Dimethylbutanoyl]Amino]Propanoylamino]Ethylsulfanyl]-5-Oxopentanoic Acid
No suppilers available for the product.
Identification
Name 5-[2-[3-[[(2R)-4-[[[(2R,3S,4R,5R)-5-(6-Aminopurin-9-Yl)-4-Hydroxy-3-Phosphonooxyoxolan-2-Yl]Methoxy-Hydroxyphosphoryl]Oxy-Hydroxyphosphoryl]Oxy-2-Hydroxy-3,3-Dimethylbutanoyl]Amino]Propanoylamino]Ethylsulfanyl]-5-Oxopentanoic Acid
Synonyms 5-[2-[3-[[(2R)-4-[[[(2R,3S,4R,5R)-5-(6-Aminopurin-9-Yl)-4-Hydroxy-3-Phosphonooxy-Tetrahydrofuran-2-Yl]Methoxy-Hydroxy-Phosphoryl]Oxy-Hydroxy-Phosphoryl]Oxy-2-Hydroxy-3,3-Dimethyl-Butanoyl]Amino]Propanoylamino]Ethylsulfanyl]-5-Oxo-Pentanoic Acid; 5-[2-[[3-[[(2R)-4-[[[(2R,3S,4R,5R)-5-(6-Amino-9-Purinyl)-4-Hydroxy-3-Phosphonooxy-2-Tetrahydrofuranyl]Methoxy-Hydroxyphosphoryl]Oxy-Hydroxyphosphoryl]Oxy-2-Hydroxy-3,3-Dimethyl-1-Oxobutyl]Amino]-1-Oxopropyl]Amino]Ethylthio]-5-Oxopentanoic Acid; 5-[2-[3-[[(2R)-4-[[[(2R,3S,4R,5R)-5-(6-Aminopurin-9-Yl)-4-Hydroxy-3-Phosphonooxy-Tetrahydrofuran-2-Yl]Methoxy-Hydroxy-Phosphoryl]Oxy-Hydroxy-Phosphoryl]Oxy-2-Hydroxy-3,3-Dimethyl-Butanoyl]Amino]Propanoylamino]Ethylthio]-5-Keto-Valeric Acid
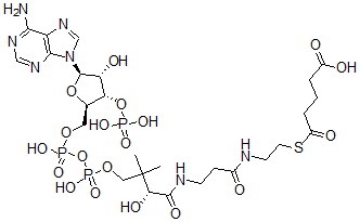
Molecular Structure CAS#: 3131-84-8, 5-[2-[3-[[(2R)-4-[[[(2R,3S,4R,5R)-5-(6-Aminopurin-9-Yl)-4-Hydroxy-3-Phosphonooxyoxolan-2-Yl]Methoxy-Hydroxyphosphoryl]Oxy-Hydroxyphosphoryl]Oxy-2-Hydroxy-3,3-Dimethylbutanoyl]Amino]Propanoylamino]Ethylsulfanyl]-5-Oxopentanoic Acid
Molecular Formula C26H42N7O19P3S
Molecular Weight 881.63
CAS Registry Number 3131-84-8
SMILES [C@H]1(O[C@@H]([C@@H](O[P](=O)(O)O)[C@H]1O)CO[P](O[P](OCC([C@@H](O)C(=O)NCCC(=O)NCCSC(=O)CCCC(=O)O)(C)C)(=O)O)(=O)O)[N]2C3=C(N=C2)C(=NC=N3)N
InChI 1S/C26H42N7O19P3S/c1-26(2,21(39)24(40)29-7-6-15(34)28-8-9-56-17(37)5-3-4-16(35)36)11-49-55(46,47)52-54(44,45)48-10-14-20(51-53(41,42)43)19(38)25(50-14)33-13-32-18-22(27)30-12-31-23(18)33/h12-14,19-21,25,38-39H,3-11H2,1-2H3,(H,28,34)(H,29,40)(H,35,36)(H,44,45)(H,46,47)(H2,27,30,31)(H2,41,42,43)/t14-,19-,20-,21+,25-/m1/s1
InChIKey SYKWLIJQEHRDNH-CKRMAKSASA-N
Properties
Density 1.881g/cm3 (Cal.)
Market Analysis Reports
List of Reports Available for 5-[2-[3-[[(2R)-4-[[[(2R,3S,4R,5R)-5-(6-Aminopurin-9-Yl)-4-Hydroxy-3-Phosphonooxyoxolan-2-Yl]Methoxy-Hydroxyphosphoryl]Oxy-Hydroxyphosphoryl]Oxy-2-Hydroxy-3,3-Dimethylbutanoyl]Amino]Propanoylamino]Ethylsulfanyl]-5-Oxopentanoic Acid
Related Products
2-(1-Chloroethenyl)Oxirane  2-Methoxyfluoren-9-One  Di(Phenyl)Iodonium Tetrafluoroborate  3-Azaspiro[5.5]Undecan-3-Yl-Dimethylazan...  S-Propyl Azepane-1-Carbothioate  S-Propan-2-Yl Azepane-1-Carbothioate  1-Arsoroso-4-Nitrobenzene  1-Arsoroso-4-Chlorobenzene  2-Amino-N-(2-Hydroxyethyl)-1,3-Benzothia...  2,6-Ditert-Butyl-4-(Dioctadecoxyphosphor...  6,11-Dioxo-N-Phenylnaphtho[3,2-b]Indoliz...  Dibenzo[fg,ij]Naphtho[1,2,3,4-rst]Pentap...  2-[(4R)-4-(2-Methoxyphenyl)-2,2-Dimethyl...  (8S,9S,10R,13S,14S,16R,17S)-17-Acetyl-10...  1,12-Dimethylbenzo[a]Anthracene